Online Database of Chemicals from Around the World

3-O-(Argininylsuberoyl)bufogenin
[CAS 35455-32-4]

Suppliers
CAS#: 35455-32-4
Product: 3-O-(Argininylsuberoyl)bufogenin
No suppilers available for the product.
Identification
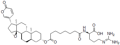
Name 3-O-(Argininylsuberoyl)bufogenin
Molecular Structure CAS#: 35455-32-4, 3-O-(Argininylsuberoyl)bufogenin
Molecular Formula C38H56N4O8
Molecular Weight 696.88
CAS Registry Number 35455-32-4
SMILES [C@@]123O[C@@H]1C[C@@H]([C@]2(CC[C@H]4[C@H]3CC[C@H]5[C@@]4(CC[C@H](OC(=O)CCCCCCC(=O)N[C@H](CCCN=C(N)N)C(O)=O)C5)C)C)C6=COC(=O)C=C6
InChI 1S/C38H56N4O8/c1-36-17-15-25(49-33(45)10-6-4-3-5-9-31(43)42-29(34(46)47)8-7-19-41-35(39)40)20-24(36)12-13-27-26(36)16-18-37(2)28(21-30-38(27,37)50-30)23-11-14-32(44)48-22-23/h11,14,22,24-30H,3-10,12-13,15-21H2,1-2H3,(H,42,43)(H,46,47)(H4,39,40,41)/t24-,25+,26+,27-,28-,29-,30-,36+,37-,38-/m1/s1
InChIKey PRMSQJQRXAFMHG-IXUIALERSA-N
Properties
Density 1.408g/cm3 (Cal.)
Market Analysis Reports
Related Products
L-Arginine-L-py...  Arginine Sulfat...  L-Arginine tert...  L-Arginine 2,4-...  8-L-Argininevas...  Arginine Vasopr...  L-Argininium di...  Argininosuccini...  Argininyl-proli...  Argininyl-serin...  Argininyl-valin...  L-Arginyl-L-a-a...  L-Arginyl-L-ala...  L-Arginyl-beta-...  L-Arginyl-L-ala...  L-Arginyl-6-Ami...  L-Arginyl-L-Arg...  L-Arginyl-L-arg...  L-Arginyl-L-Arg...  L-Arginyl-L-Arg...