Online Database of Chemicals from Around the World

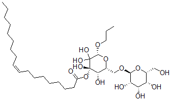
[(2R,4R,5S,6R)-3,3,4,5-Tetrahydroxy-2-Propoxy-6-[[(2S,3S,4S,5R,6R)-3,4,5-Trihydroxy-6-(Hydroxymethyl)Oxan-2-Yl]Oxymethyl]Oxan-4-Yl] (Z)-Octadec-9-Enoate
[CAS 35949-86-1]

Suppliers
CAS#: 35949-86-1
Product: [(2R,4R,5S,6R)-3,3,4,5-Tetrahydroxy-2-Propoxy-6-[[(2S,3S,4S,5R,6R)-3,4,5-Trihydroxy-6-(Hydroxymethyl)Oxan-2-Yl]Oxymethyl]Oxan-4-Yl] (Z)-Octadec-9-Enoate
No suppilers available for the product.
Identification
Name [(2R,4R,5S,6R)-3,3,4,5-Tetrahydroxy-2-Propoxy-6-[[(2S,3S,4S,5R,6R)-3,4,5-Trihydroxy-6-(Hydroxymethyl)Oxan-2-Yl]Oxymethyl]Oxan-4-Yl] (Z)-Octadec-9-Enoate
Synonyms [(2R,4R,5S,6R)-3,3,4,5-Tetrahydroxy-2-Propoxy-6-[[(2S,3S,4S,5R,6R)-3,4,5-Trihydroxy-6-(Hydroxymethyl)Tetrahydropyran-2-Yl]Oxymethyl]Tetrahydropyran-4-Yl] (Z)-Octadec-9-Enoate; (Z)-Octadec-9-Enoic Acid [(2R,4R,5S,6R)-3,3,4,5-Tetrahydroxy-2-Propoxy-6-[[(2S,3S,4S,5R,6R)-3,4,5-Trihydroxy-6-(Hydroxymethyl)-2-Tetrahydropyranyl]Oxymethyl]-4-Tetrahydropyranyl] Ester; (Z)-Octadec-9-Enoic Acid [(2R,4R,5S,6R)-3,3,4,5-Tetrahydroxy-2-Propoxy-6-[[(2S,3S,4S,5R,6R)-3,4,5-Trihydroxy-6-Methylol-Tetrahydropyran-2-Yl]Oxymethyl]Tetrahydropyran-4-Yl] Ester
Molecular Structure CAS#: 35949-86-1, [(2R,4R,5S,6R)-3,3,4,5-Tetrahydroxy-2-Propoxy-6-[[(2S,3S,4S,5R,6R)-3,4,5-Trihydroxy-6-(Hydroxymethyl)Oxan-2-Yl]Oxymethyl]Oxan-4-Yl] (Z)-Octadec-9-Enoate
Molecular Formula C33H60O14
Molecular Weight 680.83
CAS Registry Number 35949-86-1
SMILES [C@]1(OC(=O)CCCCCCC\C=C/CCCCCCCC)(O)C(O)(O)[C@@H](O[C@@H]([C@@H]1O)CO[C@H]2O[C@@H]([C@H](O)[C@H](O)[C@@H]2O)CO)OCCC
InChI 1S/C33H60O14/c1-3-5-6-7-8-9-10-11-12-13-14-15-16-17-18-19-25(35)47-33(42)29(39)24(46-31(32(33,40)41)43-20-4-2)22-44-30-28(38)27(37)26(36)23(21-34)45-30/h11-12,23-24,26-31,34,36-42H,3-10,13-22H2,1-2H3/b12-11-/t23-,24-,26+,27+,28+,29+,30+,31-,33-/m1/s1
InChIKey PJXRZWXBCYISPA-IQWVMRMJSA-N
Properties
Density 1.277g/cm3 (Cal.)
Boiling point 787.682°C at 760 mmHg (Cal.)
Flash point 236.251°C (Cal.)
Market Analysis Reports
Related Products
2,3,4,5-Tetrahy...  (3a,5b,11b,20S)...  (6beta)-6,11,17...  (6A,11B)-6,11,1...  (11beta,17alpha...  3beta,11beta,17...  (11beta,20S)-11...  (11beta,20S)-11...  1,4,5,6-Tetrahy...  [(2R,4R,5S,6R)-...  (5Z,9alpha,11al...  (5Z,9alpha,11al...  (9alpha,11alpha...  2,4,6,8-Tetrahy...  Tetrahydroxyqui...  Tetrahydroxyqui...  (1S,3R,5Z,7E)-1...  (3R,5Z,7E,14xi)...  2',3',6',7'-Tet...  Tetrahydroxysqu...