Online Database of Chemicals from Around the World

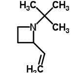
1-(2-Methyl-2-Propanyl)-2-Vinylazetidine
[CAS 359818-97-6]

Suppliers
Atomax Chemicals Co., Ltd. China
+86 13417589054/
info@atomaxchem.com,atomax.chemicals@gmail.com
QQ Chat
Chemical manufacturer
Identification
Name 1-(2-Methyl-2-Propanyl)-2-Vinylazetidine
Synonyms 1-(tert-butyl)-2-vinylazetidine
Molecular Structure CAS#: 359818-97-6, 1-(2-Methyl-2-Propanyl)-2-Vinylazetidine
Molecular Formula C9H17N
Molecular Weight 139.24
CAS Registry Number 359818-97-6
SMILES C=C\C1N(C(C)(C)C)CC1
InChI 1S/C9H17N/c1-5-8-6-7-10(8)9(2,3)4/h5,8H,1,6-7H2,2-4H3
InChIKey RQVAUBIPIFXQEJ-UHFFFAOYSA-N
Properties
Density 0.934g/cm3 (Cal.)
Boiling point 149.979°C at 760 mmHg (Cal.)
Flash point 36.767°C (Cal.)
Refractive index 1.534 (Cal.)
Market Analysis Reports
Related Products
2-Methyl-2-prop...  2-Methyl-2-Prop...  2-Methyl-2-Prop...  2-Methyl-2-Prop...  2-Methyl-2-Prop...  2-Methyl-2-Prop...  2-Methyl-2-Prop...  2-(2-Methyl-2-P...  2-Methyl-2-Prop...  2-Methyl-2-Prop...  1-(2-Methyl-2-p...  (2-Methyl-2-Pro...  2-Methyl-2-Prop...  2-Methyl-2-Prop...  2-Methyl-2-Prop...  2-Methyl-2-Prop...  (2-Methyl-2-pro...  2-Methyl-2-Prop...  1-(2-Methyl-2-P...  2-Methyl-2-Prop...