Online Database of Chemicals from Around the World

N-[3-[(2S,5S,11S,17S)-5,17-Bis[3-(Acetyl-Hydroxyamino)Propyl]-11-(Hydroxymethyl)-3,6,9,12,15,18-Hexaoxo-1,4,7,10,13,16-Hexazacyclooctadec-2-Yl]Propyl]-N-Hydroxyacetamide
[CAS 37279-99-5]

Suppliers
CAS#: 37279-99-5
Product: N-[3-[(2S,5S,11S,17S)-5,17-Bis[3-(Acetyl-Hydroxyamino)Propyl]-11-(Hydroxymethyl)-3,6,9,12,15,18-Hexaoxo-1,4,7,10,13,16-Hexazacyclooctadec-2-Yl]Propyl]-N-Hydroxyacetamide
No suppilers available for the product.
Identification
Name N-[3-[(2S,5S,11S,17S)-5,17-Bis[3-(Acetyl-Hydroxyamino)Propyl]-11-(Hydroxymethyl)-3,6,9,12,15,18-Hexaoxo-1,4,7,10,13,16-Hexazacyclooctadec-2-Yl]Propyl]-N-Hydroxyacetamide
Synonyms N-[3-[(2S,5S,11S,17S)-5,17-Bis[3-(Acetyl-Hydroxy-Amino)Propyl]-11-(Hydroxymethyl)-3,6,9,12,15,18-Hexaoxo-1,4,7,10,13,16-Hexazacyclooctadec-2-Yl]Propyl]-N-Hydroxy-Acetamide; N-[3-[(2S,5S,11S,17S)-5,17-Bis[3-(Acetyl-Hydroxy-Amino)Propyl]-3,6,9,12,15,18-Hexaketo-11-Methylol-1,4,7,10,13,16-Hexazacyclooctadec-2-Yl]Propyl]-N-Hydroxy-Acetamide; N-[3-[(2S,5S,11S,17S)-5,17-Bis[3-(Ethanoyl-Hydroxy-Amino)Propyl]-11-(Hydroxymethyl)-3,6,9,12,15,18-Hexaoxo-1,4,7,10,13,16-Hexazacyclooctadec-2-Yl]Propyl]-N-Hydroxy-Ethanamide
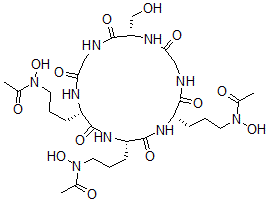
Molecular Structure CAS#: 37279-99-5, N-[3-[(2S,5S,11S,17S)-5,17-Bis[3-(Acetyl-Hydroxyamino)Propyl]-11-(Hydroxymethyl)-3,6,9,12,15,18-Hexaoxo-1,4,7,10,13,16-Hexazacyclooctadec-2-Yl]Propyl]-N-Hydroxyacetamide
Molecular Formula C28H47N9O13
Molecular Weight 717.73
CAS Registry Number 37279-99-5
SMILES [C@H]1(NC(=O)[C@@H](NC(=O)[C@@H](NC(=O)CNC(=O)[C@@H](NC(=O)CNC1=O)CO)CCCN(O)C(=O)C)CCCN(O)C(=O)C)CCCN(O)C(=O)C
InChI 1S/C28H47N9O13/c1-16(39)35(48)10-4-7-19-25(44)29-14-24(43)32-22(15-38)26(45)30-13-23(42)31-20(8-5-11-36(49)17(2)40)27(46)34-21(28(47)33-19)9-6-12-37(50)18(3)41/h19-22,38,48-50H,4-15H2,1-3H3,(H,29,44)(H,30,45)(H,31,42)(H,32,43)(H,33,47)(H,34,46)/t19-,20-,21-,22-/m0/s1
InChIKey JXJRJDNSPWNZOK-CMOCDZPBSA-N
Market Analysis Reports
Related Products
3,5-Bis(Acetyla...  Bis[5-(acetylam...  2,4-Bis(acetyla...  3,5-Bis(Acetyla...  1,3-Bis(2-acety...  Bis(Acetylcarba...  Bis(Acetylcarba...  1,1-Bis(N-Acety...  Bis(3-Acetyl-2,...  N-[3-[(2S,5S,17...  1,3-Bis(2-acety...  Bis(5-Acetyl-8-...  Bis(2-acetylmer...  3,5-Bis[Acetyl(...  Bis(3-Acetyl-6-...  (1S,2S)-N,N'-Bi...  (1R,2R)-N,N'-Bi...  (2aR,3R,5S,5aR,...  5-{[(2R,3R,4R,5...  [(6-{[(2R,3R,4R...