Online Database of Chemicals from Around the World

[(2R,3R,4S,5R)-2-Hydroxy-5-[(2S,3R,4S,5R)-5-Hydroxy-3,4-Disulfooxyoxan-2-Yl]Oxy-3-Sulfooxyoxan-4-Yl] Hydrogen Sulfate
[CAS 37300-21-3]

Suppliers
CAS#: 37300-21-3
Product: [(2R,3R,4S,5R)-2-Hydroxy-5-[(2S,3R,4S,5R)-5-Hydroxy-3,4-Disulfooxyoxan-2-Yl]Oxy-3-Sulfooxyoxan-4-Yl] Hydrogen Sulfate
No suppilers available for the product.
Identification
Classification Chemical reagent >> Organic reagent >> Thiol salt
Name [(2R,3R,4S,5R)-2-Hydroxy-5-[(2S,3R,4S,5R)-5-Hydroxy-3,4-Disulfooxyoxan-2-Yl]Oxy-3-Sulfooxyoxan-4-Yl] Hydrogen Sulfate
Synonyms [(2R,3R,4S,5R)-2-Hydroxy-5-[(2S,3R,4S,5R)-5-Hydroxy-3,4-Disulfooxy-Tetrahydropyran-2-Yl]Oxy-3-Sulfooxy-Tetrahydropyran-4-Yl] Hydrogen Sulfate; [(2R,3R,4S,5R)-2-Hydroxy-5-[[(2S,3R,4S,5R)-5-Hydroxy-3,4-Disulfooxy-2-Tetrahydropyranyl]Oxy]-3-Sulfooxy-4-Tetrahydropyranyl] Hydrogen Sulfate; [(2R,3R,4S,5R)-2-Hydroxy-5-[(2S,3R,4S,5R)-5-Hydroxy-3,4-Disulfoxy-Tetrahydropyran-2-Yl]Oxy-3-Sulfoxy-Tetrahydropyran-4-Yl] Hydrogen Sulfate
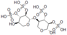
Molecular Structure CAS#: 37300-21-3, [(2R,3R,4S,5R)-2-Hydroxy-5-[(2S,3R,4S,5R)-5-Hydroxy-3,4-Disulfooxyoxan-2-Yl]Oxy-3-Sulfooxyoxan-4-Yl] Hydrogen Sulfate
Molecular Formula C10H18O21S4
Molecular Weight 602.48
CAS Registry Number 37300-21-3
SMILES [C@@H]2([C@H](O[C@H]1[C@@H]([C@H]([C@@H](CO1)O)O[S](O)(=O)=O)O[S](O)(=O)=O)CO[C@H]([C@@H]2O[S](O)(=O)=O)O)O[S](O)(=O)=O
InChI 1S/C10H18O21S4/c11-3-1-26-10(8(31-35(22,23)24)5(3)28-32(13,14)15)27-4-2-25-9(12)7(30-34(19,20)21)6(4)29-33(16,17)18/h3-12H,1-2H2,(H,13,14,15)(H,16,17,18)(H,19,20,21)(H,22,23,24)/t3-,4-,5+,6+,7-,8-,9-,10+/m1/s1
InChIKey FCCNSUIJIOOXEZ-SJYYZXOBSA-N
Properties
Density 2.268g/cm3 (Cal.)
Market Analysis Reports
Related Products
4-[2-[8-hydroxy...  3-Hydroxy-4-[2-...  4-Hydroxy-1-(3-...  Hydroxy-(3-Hydr...  3-[1-Hydroxy-4-...  4-[1-Hydroxy-4-...  2-[4-(1-Hydroxy...  4-Hydroxy-5-[[8...  2-Hydroxy-5-[[4...  4-Hydroxy-5-[[4...  3-[[1-Hydroxy-6...  3-Hydroxy-2-[(1...  2-Hydroxy-4-(2-...  2-Hydroxy-3-(2-...  3-Hydroxy-1-[2-...  2-[2-Hydroxy-1-...  2-Hydroxy-4'-(2...  1-Hydroxy-4-[[4...  [1-(Hydroxy-(2-...  4-Hydroxy-2-[2-...