Online Database of Chemicals from Around the World

3-Formylrifamycin SV O-dodecyloxime
[CAS 38546-31-5]

Suppliers
CAS#: 38546-31-5
Product: 3-Formylrifamycin SV O-dodecyloxime
No suppilers available for the product.
Identification
Name 3-Formylrifamycin SV O-dodecyloxime
Synonyms 2,7-(Epoxypentadeca(1,11,13)Trienimino)Naphtho(2,1-B)Furan-1,11(2H)-Dione, 3-Formyl-5,6,9,17,19,21-Hexahydroxy-23-Methoxy-2,4,12,16,18,20,22-Heptamethyl-, 21-Acetate, O-Dodecyloxime; 3-Formylrifamycin Sv O-Dodecyloxime
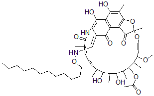
Molecular Structure CAS#: 38546-31-5, 3-Formylrifamycin SV O-dodecyloxime
Molecular Formula C50H72N2O13
Molecular Weight 909.12
CAS Registry Number 38546-31-5
SMILES C(CCCCCON/C=C2/C(=O)C1=C3C(=C(C4=C1C(=O)C(O/C=C/C(OC)C(C(OC(=O)C)C(C(O)C(C(O)C(C)\C=C\C=C(C(=O)NC2=C3O)\C)C)C)C)(O4)C)C)O)CCCCCC
InChI 1S/C50H72N2O13/c1-11-12-13-14-15-16-17-18-19-20-25-63-51-27-35-40-45(58)38-37(44(35)57)39-47(33(7)43(38)56)65-50(9,48(39)59)62-26-24-36(61-10)30(4)46(64-34(8)53)32(6)42(55)31(5)41(54)28(2)22-21-23-29(3)49(60)52-40/h21-24,26-28,30-32,36,41-42,46,51,54-56,58H,11-20,25H2,1-10H3,(H,52,60)/b22-21+,26-24+,29-23-,35-27+
InChIKey OYDMCZPFEMEFMF-HVLGUIBYSA-N
Market Analysis Reports
Related Products
3-(3-Formyl-1H-...  2-(2-Formyl-1H-...  2-(2-Formyl-1H-...  4-(2-Formylquin...  2-Formyl-5-Quin...  N-(2-Formyl-6-q...  2-Formylquinoxa...  Formyl radical;...  3-Formylrifamyc...  3-Formylrifamyc...  3-Formylsalicyl...  5-Formylsalicyl...  5-Formyl-2-Sele...  4-Formyl-trans-...  4-Formyl-trans-...  2-Formyl-1-(3-S...  3-Formyl-1-(3-s...  2-Formylterepht...  N(alpha)-Formyl...  2-Formyl-4,5,6,...