Online Database of Chemicals from Around the World

Adipic acid, polypropylene glycol polymer
[CAS 39281-13-5]

Suppliers
Sigma-Aldrich, Inc. USA
+86 (21) 6141-5566 / 800-819-3336
ordercn@sial.com,
Chemical manufacturer since 1992
Identification
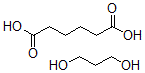
Name Adipic acid, polypropylene glycol polymer
Synonyms Adipic Acid; Propane-1,3-Diol; 456586_Aldrich; Poly(1,3-Propylene Adipate)
Molecular Structure CAS#: 39281-13-5, Adipic acid, polypropylene glycol polymer
Molecular Formula C9H18O6
Molecular Weight 222.24
CAS Registry Number 39281-13-5
SMILES C(C(=O)O)CCCC(=O)O.C(CO)CO
InChI 1S/C6H10O4.C3H8O2/c7-5(8)3-1-2-4-6(9)10;4-2-1-3-5/h1-4H2,(H,7,8)(H,9,10);4-5H,1-3H2
InChIKey FYSJYVHOKOFOAP-UHFFFAOYSA-N
Properties
Boiling point 338.5°C at 760 mmHg (Cal.)
Flash point 172.7°C (Cal.)
Market Analysis Reports
Related Products
Adipic Acid-Dim...  Adipic Acid Dis...  Adipic Acid Eth...  Adipic acid, 1,...  Adipic Acid-Iso...  Adipic Acid Mon...  Adipic Acid, Mo...  Adipic Acid-Neo...  Adipic Acid, Ph...  Adipic acid, po...  Adipic Acid, Po...  Adipic Acid, Pr...  Adipic acid, tr...  Adipic acid, tr...  Adipic Dianilid...  Adipic dihydraz...  Adipimide;Azepa...  adipiplon  Adipokinetic ho...  Adipokinetic Ho...