Online Database of Chemicals from Around the World

1-(1-Ethyl-4-Piperidinyl)-4-Methylpiperazine
[CAS 416861-95-5]

Suppliers
Achemica Switzerland
+41 (24) 466-2929
contact@achemica.com
Chemical manufacturer since 2010
Atomax Chemicals Co., Ltd. China
+86 13417589054/
info@atomaxchem.com,atomax.chemicals@gmail.com
QQ Chat
Chemical manufacturer
ChemBridge Corporation USA
+1 (858) 451-7400
sales@chembridge.com
Chemical manufacturer
Identification
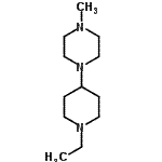
Name 1-(1-Ethyl-4-Piperidinyl)-4-Methylpiperazine
Synonyms 1-(1-ethyl-4-piperidinyl)-4-methylpiperazine; 1-(1-ethylpiperidin-4-yl)-4-methylpiperazine
Molecular Structure CAS#: 416861-95-5, 1-(1-Ethyl-4-Piperidinyl)-4-Methylpiperazine
Molecular Formula C12H25N3
Molecular Weight 211.35
CAS Registry Number 416861-95-5
SMILES N2(CCN(C1CCN(CC)CC1)CC2)C
InChI 1S/C12H25N3/c1-3-14-6-4-12(5-7-14)15-10-8-13(2)9-11-15/h12H,3-11H2,1-2H3
InChIKey SVOUNFNLVSMMEN-UHFFFAOYSA-N
Properties
Density 0.973g/cm3 (Cal.)
Boiling point 271.371°C at 760 mmHg (Cal.)
Flash point 105.27°C (Cal.)
Refractive index 1.503 (Cal.)
Market Analysis Reports
Related Products
1-(1-Ethyl-2-pi...  1-(1-Ethyl-3-pi...  [(3S)-1-Ethyl-3...  [(3R)-1-Ethyl-3...  3-Ethyl-5-(1-pi...  3-[(1-Ethyl-2-p...  10-[(1-Ethyl-3-...  (1-Ethylpiperid...  (1-Ethylpiperid...  (1-Ethylpiperid...  1-Ethyl-4-(4-pi...  N-[(1-Ethyl-2-p...  (1-Ethyl-4-pipe...  [(3R)-1-Ethyl-3...  [(3S)-1-Ethyl-3...  (1-Ethyl-3-pipe...  (2E)-4-(2-Ethyl...  3-(2-Ethyl-1-Pi...  N-Ethyl-2-(3-pi...  3-[(1-Ethyl-4-p...