Online Database of Chemicals from Around the World

3-[(2-Ethoxyethoxy)Iminomethyl]Rifamycin SV
[CAS 41887-56-3]

Suppliers
CAS#: 41887-56-3
Product: 3-[(2-Ethoxyethoxy)Iminomethyl]Rifamycin SV
No suppilers available for the product.
Identification
Name 3-[(2-Ethoxyethoxy)Iminomethyl]Rifamycin SV
Synonyms 3-Formylrifamycin Sv O-(2-Ethoxyethyl)Oxime; Brn 5418453
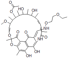
Molecular Structure CAS#: 41887-56-3, 3-[(2-Ethoxyethoxy)Iminomethyl]Rifamycin SV
Molecular Formula C42H56N2O14
Molecular Weight 812.91
CAS Registry Number 41887-56-3
SMILES C(ON/C=C2/C(=O)C1=C3C(=C(C4=C1C(=O)C(O/C=C/C(OC)C(C(OC(=O)C)C(C(O)C(C(O)C(C)\C=C\C=C(C(=O)NC2=C3O)\C)C)C)C)(O4)C)C)O)COCC
InChI 1S/C42H56N2O14/c1-11-54-17-18-56-43-19-27-32-37(50)30-29(36(27)49)31-39(25(7)35(30)48)58-42(9,40(31)51)55-16-15-28(53-10)22(4)38(57-26(8)45)24(6)34(47)23(5)33(46)20(2)13-12-14-21(3)41(52)44-32/h12-16,19-20,22-24,28,33-34,38,43,46-48,50H,11,17-18H2,1-10H3,(H,44,52)/b13-12+,16-15+,21-14-,27-19+
InChIKey HOFYRMLDHXLKDU-NAAHERLPSA-N
Market Analysis Reports
Related Products
1-(1-Ethoxyetho...  (E)-1-[(1R)-1-E...  (E)-1-(1-Ethoxy...  (E)-1-(1-Ethoxy...  (E)-6-(1-Ethoxy...  1-(2-Ethoxyetho...  6-(1-Ethoxyetho...  (2S,3R,4S,5S,6R...  1-[2-(2-Ethoxye...  2-Ethoxy-4-[(E)...  4-((3-(2-Ethoxy...  1-(1-Ethoxyetho...  1-Ethoxy-7-(Eth...  (1S)-1-(1-Ethox...  2-Ethoxy-5-(Eth...  5-[(1-Ethoxyeth...  (3E)-5-(1-Ethox...  1-(1-Ethoxyetho...  (Z)-9-(1-Ethoxy...  1-(1-Ethoxyetho...