Online Database of Chemicals from Around the World

3-[[[(6-Phenoxyhexyl)Oxy]Imino]Methyl]-Rifamycin
[CAS 41970-88-1]

Suppliers
Alfa Chemistry USA
+1 (201) 478-8534
inquiry@alfa-chemistry.com
Chemical distributor since 2012
chemBlink standard supplier since 2012
BOC Sciences USA
+1 (631) 485-4226
info@bocsci.com
Skype Chat
Chemical distributor
chemBlink massive supplier since 2012
Identification
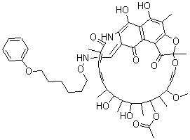
Name 3-[[[(6-Phenoxyhexyl)Oxy]Imino]Methyl]-Rifamycin
Synonyms Brn 5418982; 2,7-(Epoxypentadeca(1,11,13)Trienimino)Naphtho(2,1-B)Furan-1,11(2H)-Dione, 3-Formyl-5,6,9,17,19,21-Hexahydroxy-23-Methoxy-2,4,12,16,18,20,22-Heptamethyl-, 21-Acetate, O-(6-Phenoxyhexyl)Oxime
Molecular Structure CAS#: 41970-88-1, 3-[[[(6-Phenoxyhexyl)Oxy]Imino]Methyl]-Rifamycin
Molecular Formula C50H64N2O14
Molecular Weight 917.06
CAS Registry Number 41970-88-1
SMILES C5=C(OCCCCCCON/C=C2/C(=O)C1=C3C(=C(C4=C1C(=O)C(O/C=C/C(OC)C(C(OC(=O)C)C(C(O)C(C(O)C(C)\C=C\C=C(C(=O)NC2=C3O)\C)C)C)C)(O4)C)C)O)C=CC=C5
InChI 1S/C50H64N2O14/c1-27-18-17-19-28(2)49(60)52-40-35(26-51-64-24-16-11-10-15-23-62-34-20-13-12-14-21-34)44(57)37-38(45(40)58)43(56)32(6)47-39(37)48(59)50(8,66-47)63-25-22-36(61-9)29(3)46(65-33(7)53)31(5)42(55)30(4)41(27)54/h12-14,17-22,25-27,29-31,36,41-42,46,51,54-56,58H,10-11,15-16,23-24H2,1-9H3,(H,52,60)/b18-17+,25-22+,28-19-,35-26+
InChIKey ORMBEKUWSKKTGD-GUEWYBDWSA-N
Market Analysis Reports
Related Products
(2-Phenoxyethyl...  9-Phenoxyfluore...  3-Phenoxy-6-Flu...  5-Phenoxy-2-Fur...  3-Phenoxy-Furan...  5-Phenoxy-2-Fur...  (5-Phenoxy-2-Fu...  6-Phenoxy-2-hex...  2-(6-Phenoxyhex...  6-Phenoxyhexyl ...  5-Phenoxy-1(3H)...  2-Phenoxyisonic...  5-Phenoxyisopht...  N-(Phenoxyisopr...  Phenoxyl radica...  2'-Phenoxymetha...  4-(Phenoxymethy...  2-(Phenoxymethy...  3-(Phenoxymethy...  2-(Phenoxymethy...