| Wuhan Hsenbruy Chemical Co., Ltd. | China | |||
|---|---|---|---|---|
![]() | www.hsenchem.com | |||
![]() | +86 (27) 5935-3221 5935-3222 | |||
![]() | +86 (27) 5935-3223 | |||
![]() | hsenchem@163.com | |||
![]() | QQ Chat | |||
| Chemical manufacturer | ||||
| chemBlink Standard supplier since 2012 | ||||
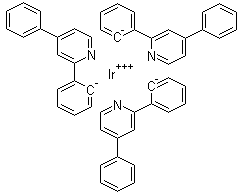
| Name | Tris[2-(4-phenyl-2-pyridinyl)phenyl]-iridium |
|---|---|
| Molecular Structure | ![]() |
| Molecular Formula | C51H36IrN3 |
| Molecular Weight | 883.07 |
| CAS Registry Number | 459133-57-4 |
| SDS | Available |
|---|---|
| Market Analysis Reports |