Online Database of Chemicals from Around the World

6'-N-Methylsisomicin
[CAS 51909-61-6]

Suppliers
CAS#: 51909-61-6
Product: 6'-N-Methylsisomicin
No suppilers available for the product.
Identification
Name 6'-N-Methylsisomicin
Synonyms 2-[4,6-Diamino-3-[[3-Amino-6-(Methylaminomethyl)-3,4-Dihydro-2H-Pyran-2-Yl]Oxy]-2-Hydroxy-Cyclohexoxy]-5-Methyl-4-Methylamino-Tetrahydropyran-3,5-Diol; 2-[4,6-Diamino-3-[[3-Amino-6-(Methylaminomethyl)-3,4-Dihydro-2H-Pyran-2-Yl]Oxy]-2-Hydroxycyclohexoxy]-5-Methyl-4-Methylaminotetrahydropyran-3,5-Diol; 2-[4,6-Diamino-3-[[3-Amino-6-(Methylaminomethyl)-3,4-Dihydro-2H-Pyran-2-Yl]Oxy]-2-Hydroxy-Cyclohexyl]Oxy-5-Methyl-4-Methylamino-Oxane-3,5-Diol
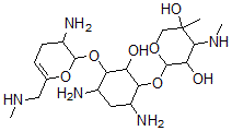
Molecular Structure CAS#: 51909-61-6, 6'-N-Methylsisomicin
Molecular Formula C20H39N5O7
Molecular Weight 461.56
CAS Registry Number 51909-61-6
SMILES C(NC)C3=CCC(N)C(OC2C(O)C(OC1OCC(O)(C(NC)C1O)C)C(N)CC2N)O3
InChI 1S/C20H39N5O7/c1-20(28)8-29-19(14(27)17(20)25-3)32-16-12(23)6-11(22)15(13(16)26)31-18-10(21)5-4-9(30-18)7-24-2/h4,10-19,24-28H,5-8,21-23H2,1-3H3
InChIKey ARCVBMPERJRMKB-UHFFFAOYSA-N
Properties
Density 1.347g/cm3 (Cal.)
Boiling point 670.552°C at 760 mmHg (Cal.)
Flash point 359.337°C (Cal.)
Market Analysis Reports
Related Products
Methyl silsesqu...  (Methylsilyl)-B...  1-Methyl-4-sily...  1,1'-Methylsily...  1,1',1''-(Methy...  Methylsilylidyn...  2,2',2''-[(Meth...  Methyl(silylmet...  2-Methyl Simvas...  Methyl sinapate...  (R)-Methyl Soni...  Methyl Sorbate;...  Methyl sorbate;...  1-Methylspegatr...  N-Methyl-Spiper...  (5alpha,17beta)...  (5beta,17beta)-...  2'-Methylspiro[...  (1R)-5-Methyl-3...  (1S)-5-Methyl-3...