Online Database of Chemicals from Around the World

Sulfoevernan
[CAS 52108-89-1]

Suppliers
CAS#: 52108-89-1
Product: Sulfoevernan
No suppilers available for the product.
Identification
Name Sulfoevernan
Synonyms [(2R,3R,4S,5R,6R)-6-[(2R,3R,4S,5R,6R)-2-[(2R,3S,4S,5R,6R)-4,5-Dihydroxy-6-(Hydroxymethyl)-2-(Sulfonatooxymethyl)Tetrahydropyran-3-Yl]Oxy-3,5-Dihydroxy-6-(Sulfonatooxymethyl)Tetrahydropyran-4-Yl]Oxy-4-[(2R,3R,4S,5R,6R)-4-[(2R,3R,4R,5S,6S)-3,4-Dihydroxy-5-(Hydroxymethyl)-6-(Sulfonatooxymethyl)Tetrahydropyran-2-Yl]Oxy-3,5-Dihydroxy-6-(Sulfonatooxymethyl)Tetrahydropyran-2-Yl]Oxy-3,5-Dihydroxy-Tetrahydropyran-2-Yl]Methyl Sulfate; [(2R,3R,4S,5R,6R)-6-[[(2R,3R,4S,5R,6R)-2-[[(2R,3S,4S,5R,6R)-4,5-Dihydroxy-6-(Hydroxymethyl)-2-(Sulfonatooxymethyl)-3-Tetrahydropyranyl]Oxy]-3,5-Dihydroxy-6-(Sulfonatooxymethyl)-4-Tetrahydropyranyl]Oxy]-4-[[(2R,3R,4S,5R,6R)-4-[[(2R,3R,4R,5S,6S)-3,4-Dihydroxy-5-(Hydroxymethyl)-6-(Sulfonatooxymethyl)-2-Tetrahydropyranyl]Oxy]-3,5-Dihydroxy-6-(Sulfonatooxymethyl)-2-Tetrahydropyranyl]Oxy]-3,5-Dihydroxy-2-Tetrahydropyranyl]Methyl Sulfate; [(2R,3R,4S,5R,6R)-6-[(2R,3R,4S,5R,6R)-2-[(2R,3S,4S,5R,6R)-4,5-Dihydroxy-6-Methylol-2-(Sulfatomethyl)Tetrahydropyran-3-Yl]Oxy-3,5-Dihydroxy-6-(Sulfatomethyl)Tetrahydropyran-4-Yl]Oxy-4-[(2R,3R,4S,5R,6R)-4-[(2R,3R,4R,5S,6S)-3,4-Dihydroxy-5-Methylol-6-(Sulfatomethyl)Tetrahydropyran-2-Yl]Oxy-3,5-Dihydroxy-6-(Sulfatomethyl)Tetrahydropyran-2-Yl]Oxy-3,5-Dihydroxy-Tetrahydropyran-2-Yl]Methyl Sulfate
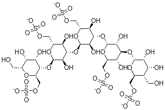
Molecular Structure CAS#: 52108-89-1, Sulfoevernan
Molecular Formula C32H51O41S5
Molecular Weight 1252.03
CAS Registry Number 52108-89-1
SMILES [C@@H]5(O[C@H]2O[C@@H]([C@@H](O)[C@H](O[C@H]1O[C@@H]([C@H]([C@@H](O)[C@H]1O)CO)CO[S]([O-])(=O)=O)[C@H]2O)CO[S]([O-])(=O)=O)[C@@H](O)[C@@H](O[C@@H]3[C@@H](O)[C@H](O[C@@H]([C@H]3O)CO[S]([O-])(=O)=O)O[C@H]4[C@@H](O)[C@@H](O)[C@H](O[C@@H]4CO[S]([O-])(=O)=O)CO)O[C@@H]([C@H]5O)CO[S]([O-])(=O)=O
InChI 1S/C32H56O41S5/c33-1-8-10(3-60-74(45,46)47)66-29(21(41)15(8)35)71-26-17(37)12(5-62-76(51,52)53)68-31(23(26)43)73-28-19(39)13(6-63-77(54,55)56)69-32(24(28)44)72-27-18(38)11(4-61-75(48,49)50)67-30(22(27)42)70-25-14(7-64-78(57,58)59)65-9(2-34)16(36)20(25)40/h8-44H,1-7H2,(H,45,46,47)(H,48,49,50)(H,51,52,53)(H,54,55,56)(H,57,58,59)/p-5/t8-,9-,10-,11-,12-,13-,14-,15-,16+,17-,18-,19-,20+,21-,22-,23-,24-,25-,26+,27+,28+,29-,30-,31-,32-/m1/s1
InChIKey RPKFABXAVQGMDX-LVVATKCBSA-I
Market Analysis Reports
Related Products
1-Sulfo-Cyclohe...  S-Sulfo-L-Cyste...  5-Sulfo-4'-Diet...  2-Sulfododecano...  Sulfoenolpyruva...  (2S)-2-(2-Sulfo...  N-(2-Sulfoethyl...  N-(2-Sulfoethyl...  2-Sulfoethyl me...  4-Sulfoethylthi...  5-Sulfo-2-furan...  Sulfogaiacol;Po...  1-O-(3-O-Sulfo-...  4-O-(6-O-Sulfo-...  3-O-Sulfogalact...  N-Sulfo-glucosa...  N-Sulfo-glucosa...  3-Sulfoglycolit...  Sulfoglycopepti...  S-Sulfohomocyst...