Online Database of Chemicals from Around the World

3-[2-(2-Ethoxyethoxy)Ethoxyiminomethyl]Rifamycin Sv
[CAS 52370-31-7]

Suppliers
CAS#: 52370-31-7
Product: 3-[2-(2-Ethoxyethoxy)Ethoxyiminomethyl]Rifamycin Sv
No suppilers available for the product.
Identification
Name 3-[2-(2-Ethoxyethoxy)Ethoxyiminomethyl]Rifamycin Sv
Synonyms 3-Formylrifamycin Sv O-(2-(2-Ethoxyethoxy)Ethyl)Oxime; Brn 5418758
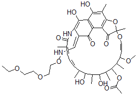
Molecular Structure CAS#: 52370-31-7, 3-[2-(2-Ethoxyethoxy)Ethoxyiminomethyl]Rifamycin Sv
Molecular Formula C44H60N2O15
Molecular Weight 856.96
CAS Registry Number 52370-31-7
SMILES C(ON/C=C2/C(=O)C1=C3C(=C(C4=C1C(=O)C(O/C=C/C(OC)C(C(OC(=O)C)C(C(O)C(C(O)C(C)\C=C\C=C(C(=O)NC2=C3O)\C)C)C)C)(O4)C)C)O)COCCOCC
InChI 1S/C44H60N2O15/c1-11-56-17-18-57-19-20-59-45-21-29-34-39(52)32-31(38(29)51)33-41(27(7)37(32)50)61-44(9,42(33)53)58-16-15-30(55-10)24(4)40(60-28(8)47)26(6)36(49)25(5)35(48)22(2)13-12-14-23(3)43(54)46-34/h12-16,21-22,24-26,30,35-36,40,45,48-50,52H,11,17-20H2,1-10H3,(H,46,54)/b13-12+,16-15+,23-14-,29-21+
InChIKey BFXFAAGRFODEEG-YNEICERZSA-N
Market Analysis Reports
Related Products
2(2-Ethoxyethox...  2-(2-Ethoxyetho...  2-(2-Ethoxyetho...  1-Ethoxy-4-(1-E...  [2-(2-Ethoxyeth...  [2-(2-Ethoxyeth...  5-[1-[2-(2-Etho...  2-[2-(2-Ethoxye...  2-[2-(2-Ethoxye...  2-[2-(2-Ethoxye...  1-(2-(2-Ethoxye...  6-[3-[2-(2-Etho...  8-(2-(2-Ethoxye...  2-(2-Ethoxyetho...  3-Ethoxy-N-(2-E...  2-Ethoxy-N-(2-E...  [1-(1-Ethoxyeth...  2-(2-Ethoxyetho...  2-Ethoxy-N-(2-E...  N-[3-[[2-(2-Eth...