Online Database of Chemicals from Around the World

Everninomicin B
[CAS 53296-30-3]

Suppliers
CAS#: 53296-30-3
Product: Everninomicin B
No suppilers available for the product.
Identification
Name Everninomicin B
Synonyms [6-[4',7-Dihydroxy-6-[3-Hydroxy-2-[4-Hydroxy-6-[7'-Hydroxy-7-Methoxy-7'-(1-Methoxyethyl)Spiro[4,6,7,7A-Tetrahydro-3Ah-[1,3]Dioxolo[4,5-D]Pyran-2,4'-6,7A-Dihydro-3Ah-[1,3]Dioxolo[4,5-C]Pyran]-6-Yl]Oxy-5-Methoxy-2-(Methoxymethyl)Oxan-3-Yl]Oxy-5-Methoxy-6-Methyl-Oxan-4-Yl]Oxy-2',4,7A-Trimethyl-Spiro[3A,4,6,7-Tetrahydro-[1,3]Dioxolo[4,5-D]Pyran-2,6'-Oxane]-3'-Yl]Oxy-4-(5-Methoxy-4,6-Dimethyl-4-Nitro-Oxan-2-Yl)Oxy-2-Methyl-Oxan-3-Yl] 3,5-Dichloro-4-Hydroxy-2-Methoxy-6-Methyl-Benzoate; Everninomycin-B; Eveninomicin B Sodium Salt
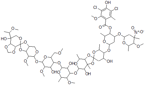
Molecular Structure CAS#: 53296-30-3, Everninomicin B
Molecular Formula C66H99Cl2NO36
Molecular Weight 1553.40
CAS Registry Number 53296-30-3
SMILES C(OC)C5OC(OC2OCC1OC3(OC1C2OC)OCC(O)(C4OCOC34)C(OC)C)C(OC)C(O)C5OC%12OC(C(OC)C(OC7OC(C6OC%11(OC6(C7O)C)OC(C(OC%10OC(C(OC(=O)C8=C(OC)C(=C(O)C(=C8C)Cl)Cl)C(OC9OC(C(OC)C([N+]([O-])=O)(C9)C)C)C%10)C)C(O)C%11)C)C)C%12O)C
InChI 1S/C66H99Cl2NO36/c1-24-37(48(82-13)39(68)40(71)38(24)67)57(75)97-44-25(2)90-35(17-32(44)94-36-19-62(8,69(77)78)53(85-16)28(5)91-36)96-43-27(4)101-65(18-31(43)70)104-54-29(6)93-61(52(74)63(54,9)105-65)99-49-42(73)58(92-26(3)45(49)81-12)98-46-33(20-79-10)95-60(50(83-14)41(46)72)100-59-51(84-15)47-34(21-86-59)102-66(103-47)56-55(87-23-88-56)64(76,22-89-66)30(7)80-11/h25-36,41-47,49-56,58-61,70-74,76H,17-23H2,1-16H3
InChIKey ZFRCWSCZDCAGAJ-UHFFFAOYSA-N
Properties
Density 1.497g/cm3 (Cal.)
Market Analysis Reports
Related Products
Eutylone;1-(1,3...  Eutylone hydroc...  Euxanthone  Evacetrapib;LY2...  Evandamine;[5-M...  Evening primros...  Evernia furfura...  Evernic Acid;2-...  Evernimicin;Eve...  Evernimicin;Eve...  Everolimus;(1R,...  Everolimus EP I...  Everolimus Ring...  Evobrutinib;1-[...  Evocalcet Impur...  Evocarpine;1-Me...  Evodiamine;8,13...  Evodiamine;(+)-...  Evodine;(-)-1-[...  Evodol