Online Database of Chemicals from Around the World

Prostaglandin F2 Ethyl Ester
[CAS 53764-89-9]

Suppliers
Santa Cruz Biotechnology, Inc. USA
+1 (831) 457-3800
scbt@scbt.com
Chemical manufacturer
Sigma-Aldrich, Inc. USA
+86 (21) 6141-5566 / 800-819-3336
ordercn@sial.com,
Chemical manufacturer since 1992
Identification
Name Prostaglandin F2 Ethyl Ester
Synonyms (Z)-7-[(1R,2R,3R,5S)-3,5-Dihydroxy-2-[(E,3S)-3-Hydroxyoct-1-Enyl]Cyclopentyl]Hept-5-Enoic Acid Ethyl Ester; P0314_Sigma; Prostaglandin- F2alpha Methyl Ester
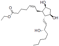
Molecular Structure CAS#: 53764-89-9, Prostaglandin F2 Ethyl Ester
Molecular Formula C22H38O5
Molecular Weight 382.54
CAS Registry Number 53764-89-9
SMILES [C@H]1([C@H]([C@@H](O)C[C@H]1O)C\C=C/CCCC(OCC)=O)\C=C\[C@@H](O)CCCCC
InChI 1S/C22H38O5/c1-3-5-8-11-17(23)14-15-19-18(20(24)16-21(19)25)12-9-6-7-10-13-22(26)27-4-2/h6,9,14-15,17-21,23-25H,3-5,7-8,10-13,16H2,1-2H3/b9-6-,15-14+/t17-,18+,19+,20-,21+/m0/s1
InChIKey KRDFNHLEMLCWKD-GWSKAPOCSA-N
Properties
Density 1.095g/cm3 (Cal.)
Boiling point 506.041°C at 760 mmHg (Cal.)
Flash point 163.987°C (Cal.)
Market Analysis Reports
Related Products
Prostaglandin G...  Prostaglandin G...  Prostaglandin J...  Gsh-Prostagland...  Prostaglandin I...  Prostaglandin E...  delta12-Prostag...  Prostaglandin D...  Prostaglandin F...  Prostaglandin E...  Prostaglandin F...  Prostaglandin F...  Prostaglandin A...  Prostaglandin F...  Prostaglandin H...  Prostaglandins ...  Prostaglandins ...  Prostalene;Meth...  Prostanozol  (9alpha,11alpha...