Online Database of Chemicals from Around the World

(1S,2S,3R,4S,6R)-4,6-Diamino-3-{[3-Amino-6-(Aminomethyl)-3,4-Dihydro-2H-Pyran-2-Yl]Oxy}-2-Hydroxycyclohexyl 3-Deoxy-4-C-Methyl-3-(Methylamino)-beta-L-Arabinopyranoside Sulfate (2:5)
[CAS 53776-71-9]

Suppliers
Alfa Chemistry USA
+1 (201) 478-8534
inquiry@alfa-chemistry.com
Chemical distributor since 2012
chemBlink standard supplier since 2012
RIA International LLC USA
+1 (973) 581-1282/
marketing@riausa.net,nj@riausa.net
Chemical distributor
Simagchem Corporation China
+86 13806087780
sale@simagchem.com
Chemical manufacturer since 2002
chemBlink premium supplier since 2020
Identification
Name (1S,2S,3R,4S,6R)-4,6-Diamino-3-{[3-Amino-6-(Aminomethyl)-3,4-Dihydro-2H-Pyran-2-Yl]Oxy}-2-Hydroxycyclohexyl 3-Deoxy-4-C-Methyl-3-(Methylamino)-beta-L-Arabinopyranoside Sulfate (2:5)
Synonyms disisomicin pentakis(sulphate); SISOMICIN SULFATE; sissomicin sulfate
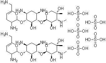
Molecular Structure CAS#: 53776-71-9, (1S,2S,3R,4S,6R)-4,6-Diamino-3-{[3-Amino-6-(Aminomethyl)-3,4-Dihydro-2H-Pyran-2-Yl]Oxy}-2-Hydroxycyclohexyl 3-Deoxy-4-C-Methyl-3-(Methylamino)-beta-L-Arabinopyranoside Sulfate (2:5)
Molecular Formula C38H84N10O34S5
Molecular Weight 1385.45
CAS Registry Number 53776-71-9
SMILES OS(O)(=O)=O.OS(O)(=O)=O.C[C@]3(O)CO[C@H](O[C@H]2[C@H](N)C[C@H](N)[C@@H](OC1OC(/CN)=C\CC1N)[C@@H]2O)[C@H](O)[C@H]3NC.OS(O)(=O)=O.OS(O)(=O)=O.OS(O)(=O)=O.NC3C\C=C(\CN)OC3O[C@@H]2[C@@H](N)C[C@@H](N)[C@H](O[C@H]1OC[C@](C)(O)[C@H](NC)[C@H]1O)[C@H]2O
InChI 1S/2C19H37N5O7.5H2O4S/c2*1-19(27)7-28-18(13(26)16(19)24-2)31-15-11(23)5-10(22)14(12(15)25)30-17-9(21)4-3-8(6-20)29-17;5*1-5(2,3)4/h2*3,9-18,24-27H,4-7,20-23H2,1-2H3;5*(H2,1,2,3,4)/t2*9?,10-,11+,12-,13+,14+,15-,16+,17?,18+,19-;;;;;/m00...../s1
InChIKey CIKNYWFPGZCHDL-UYIUNSPHSA-N
Properties
Boiling point 1504.5°C at 760 mmHg (Cal.)
Flash point 863.7°C (Cal.)
Market Analysis Reports
Related Products
(3,6-Diamino-9-...  1,3-Diaminoadam...  2,4-Diamino-5-a...  2,5-Diaminoadip...  3,6-Diamino-3aH...  2-[[[(6S)-2,6-D...  2-[[[(6S)-2,6-D...  2-[4,6-Diamino-...  (2R,3R,4R,5R)-2...  (1S,2S,3R,4S,6R...  2-[4,6-Diamino-...  (3S)-3,6-Diamin...  (3S)-3,6-Diamin...  3,5-Diamino-N-[...  3,5-Diamino-N-[...  4,8-Diamino-N-[...  (E)-2,10-diamin...  (5Z)-2,10-Diami...  2,4-Diamino-5-(...  (1R,2S,3S,4R,6S...