|
CAS#: 57164-28-0 Product: 4-Nitro-Phe(5)-Bradykinin No suppilers available for the product. |
| Name | 4-Nitro-Phe(5)-Bradykinin |
|---|---|
| Synonyms | (2S)-2-[[(2S)-2-[[(2S)-1-[(2S)-2-[[(2S)-2-[[2-[[1-[(2S)-1-[(2S)-2-Amino-5-Guanidino-Pentanoyl]Pyrrolidine-2-Carbonyl]Pyrrolidine-2-Carbonyl]Amino]Acetyl]Amino]-3-(4-Nitrophenyl)Propanoyl]Amino]-3-Hydroxy-Propanoyl]Pyrrolidine-2-Carbonyl]Amino]-3-Phenyl-Propanoyl]Amino]-5-Guanidino-Pentanoic Acid; (2S)-2-[[(2S)-2-[[[(2S)-1-[(2S)-2-[[(2S)-2-[[2-[[[1-[[(2S)-1-[(2S)-2-Amino-5-Guanidino-1-Oxopentyl]-2-Pyrrolidinyl]-Oxomethyl]-2-Pyrrolidinyl]-Oxomethyl]Amino]-1-Oxoethyl]Amino]-3-(4-Nitrophenyl)-1-Oxopropyl]Amino]-3-Hydroxy-1-Oxopropyl]-2-Pyrrolidinyl]-Oxomethyl]Amino]-1-Oxo-3-Phenylpropyl]Amino]-5-Guanidinopentanoic Acid; (2S)-2-[[(2S)-2-[[(2S)-1-[(2S)-2-[[(2S)-2-[[2-[[1-[(2S)-1-[(2S)-2-Amino-5-Guanidino-Pentanoyl]Pyrrolidine-2-Carbonyl]Pyrrolidine-2-Carbonyl]Amino]Acetyl]Amino]-3-(4-Nitrophenyl)Propanoyl]Amino]-3-Hydroxy-Propanoyl]Pyrrolidine-2-Carbonyl]Amino]-3-Phenyl-Propanoyl]Amino]-5-Guanidino-Valeric Acid |
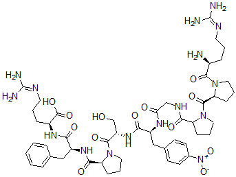
| Molecular Structure | ![]() |
| Molecular Formula | C50H72N16O13 |
| Molecular Weight | 1105.22 |
| CAS Registry Number | 57164-28-0 |
| SMILES | [C@@H]1(N(CCC1)C(=O)[C@@H](N)CCCN=C(N)N)C(=O)N2C(CCC2)C(=O)NCC(=O)N[C@H](C(=O)N[C@H](C(=O)N3[C@@H](CCC3)C(=O)N[C@@H](CC4=CC=CC=C4)C(=O)N[C@@H](CCCN=C(N)N)C(O)=O)CO)CC5=CC=C([N+]([O-])=O)C=C5 |
| InChI | 1S/C50H72N16O13/c51-32(11-4-20-56-49(52)53)45(73)65-24-8-15-39(65)47(75)64-23-6-13-37(64)43(71)58-27-40(68)59-34(26-30-16-18-31(19-17-30)66(78)79)41(69)62-36(28-67)46(74)63-22-7-14-38(63)44(72)61-35(25-29-9-2-1-3-10-29)42(70)60-33(48(76)77)12-5-21-57-50(54)55/h1-3,9-10,16-19,32-39,67H,4-8,11-15,20-28,51H2,(H,58,71)(H,59,68)(H,60,70)(H,61,72)(H,62,69)(H,76,77)(H4,52,53,56)(H4,54,55,57)/t32-,33-,34-,35-,36-,37?,38-,39-/m0/s1 |
| InChIKey | SUEBONSZXJWFIE-NRUUKNHRSA-N |
| Density | 1.545g/cm3 (Cal.) |
|---|---|
| Market Analysis Reports |