Online Database of Chemicals from Around the World

Colimecycline
[CAS 58298-92-3]

Suppliers
Alfa Chemistry USA
+1 (201) 478-8534
inquiry@alfa-chemistry.com
Chemical distributor since 2012
chemBlink standard supplier since 2012
BOC Sciences USA
+1 (631) 485-4226
info@bocsci.com
Skype Chat
Chemical distributor
chemBlink massive supplier since 2012
Identification
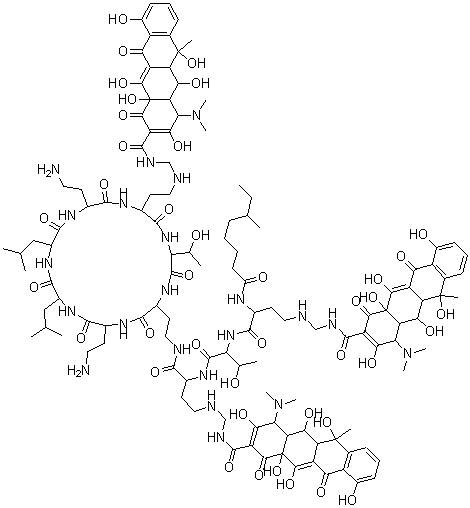
Name Colimecycline
Synonyms Colimecycline; Colimecycline [Inn:Dcf]
Molecular Structure CAS#: 58298-92-3, Colimecycline
Molecular Formula C122H172N22O40
Molecular Weight 2586.82
CAS Registry Number 58298-92-3
SMILES C1=CC=C(O)C%13=C1C(O)(C2C(=C(O)C3(O)C(C2O)C(N(C)C)C(=C(C3=O)C(=O)NCNCCC4NC(=O)C(NC(=O)C(NC(=O)C(NC(=O)C(NC(=O)C(NC(=O)C(NC4=O)C(O)C)CCNC(=O)C(NC(=O)C(NC(=O)C(NC(=O)CCCCC(CC)C)CCNCNC(=O)C8=C(O)C(N(C)C)C5C(O)(C(=C6C(C5O)C(O)(C7=C(C6=O)C(=CC=C7)O)C)O)C8=O)C(O)C)CCNCNC(=O)C%12=C(O)C(N(C)C)C9C(O)(C(=C%10C(C9O)C(O)(C%11=C(C%10=O)C(=CC=C%11)O)C)O)C%12=O)CCN)CC(C)C)CC(C)C)CCN)O)C%13=O)C
InChI 1S/C122H172N22O40/c1-18-51(6)24-19-20-31-68(150)132-60(35-41-126-47-130-113(175)76-93(155)87(143(14)15)82-96(158)79-73(99(161)121(82,183)102(76)164)90(152)70-55(118(79,10)180)26-22-29-66(70)148)108(170)140-84(52(7)145)115(177)136-59(34-40-125-46-129-112(174)75-92(154)86(142(12)13)81-95(157)78-72(98(160)120(81,182)101(75)163)89(151)69-54(117(78,9)179)25-21-28-65(69)147)104(166)128-43-37-62-107(169)133-58(33-39-124)106(168)138-64(45-50(4)5)111(173)139-63(44-49(2)3)110(172)134-57(32-38-123)105(167)135-61(109(171)141-85(53(8)146)116(178)137-62)36-42-127-48-131-114(176)77-94(156)88(144(16)17)83-97(159)80-74(100(162)122(83,184)103(77)165)91(153)71-56(119(80,11)181)27-23-30-67(71)149/h21-23,25-30,49-53,57-64,78-88,95-97,125-127,145-149,154-162,179-184H,18-20,24,31-48,123-124H2,1-17H3,(H,128,166)(H,129,174)(H,130,175)(H,131,176)(H,132,150)(H,133,169)(H,134,172)(H,135,167)(H,136,177)(H,137,178)(H,138,168)(H,139,173)(H,140,170)(H,141,171)
InChIKey NBDYBIZOCFXDHB-UHFFFAOYSA-N
Market Analysis Reports
Related Products
Colchicine;7-Ac...  Colchicine Meth...  Colchicoside;N-...  Colemanite (CaH...  Colesevelam hyd...  Colestilan;Cole...  Colestipol  Colestipol Hydr...  Colestipol hydr...  Colfenamate;(2-...  Colipase  Colistimethate;...  Colistimethate ...  Colistin;N-[(1S...  Colistin sulfat...  Colistin-1,3,5,...  Colitose;3,6-De...  Colivelin;L-Ser...  Collagen  Collagenase;Asp...