Online Database of Chemicals from Around the World

Eugeniin
[CAS 58970-75-5]

Suppliers
CAS#: 58970-75-5
Product: Eugeniin
No suppilers available for the product.
Identification
Name Eugeniin
Synonyms Megxp0_001162; Acon1_001321; C10224
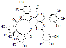
Molecular Structure CAS#: 58970-75-5, Eugeniin
Molecular Formula C41H30O26
Molecular Weight 938.67
CAS Registry Number 58970-75-5
SMILES [C@H]3([C@H]([C@@H]2OC(C5=C(C1=C(C(=C(C=C1C(OC[C@H]2O[C@H]3OC(C4=CC(=C(C(=C4)O)O)O)=O)=O)O)O)O)C(=C(C(=C5)O)O)O)=O)OC(C6=CC(=C(O)C(=C6)O)O)=O)OC(C7=CC(=C(C(=C7)O)O)O)=O
InChI 1S/C41H30O26/c42-15-1-10(2-16(43)26(15)50)36(57)65-34-33-23(9-62-39(60)13-7-21(48)29(53)31(55)24(13)25-14(40(61)64-33)8-22(49)30(54)32(25)56)63-41(67-38(59)12-5-19(46)28(52)20(47)6-12)35(34)66-37(58)11-3-17(44)27(51)18(45)4-11/h1-8,23,33-35,41-56H,9H2/t23-,33-,34+,35-,41+/m1/s1
InChIKey JCGHAEBIBSEQAD-UUUCSUBKSA-N
Properties
Density 2.139g/cm3 (Cal.)
Boiling point 1503.692°C at 760 mmHg (Cal.)
Flash point 450.834°C (Cal.)
Market Analysis Reports
Related Products
Eudesmane;(1R,4...  1,4,7-Eudesmane...  Eudesmin;NSC 35...  epi-Eudesmol  beta-Eudesmol;(...  Eudesmol  Eudistomine F  Eudragit Rl;Met...  Eugarzasidine I...  Eugenia caryoph...  Eugenitin;5-Hyd...  Eugenol;4-Allyl...  Eugenol-d3  Eugenol rutinos...  Eugenyl acetate...  Eugenyl benzoat...  Eugenyl Glucosi...  Euglobal Ia2;Eu...  EUK-189;N,N'-Bi...  EUK 207