Online Database of Chemicals from Around the World

Ethynodiol Testosterone Ester
[CAS 61083-04-3]

Suppliers
CAS#: 61083-04-3
Product: Ethynodiol Testosterone Ester
No suppilers available for the product.
Identification
Name Ethynodiol Testosterone Ester
Synonyms Butanedioic Acid [(8R,9S,10R,13S,14S,17S)-10,13-Dimethyl-3-Oxo-1,2,6,7,8,9,11,12,14,15,16,17-Dodecahydrocyclopenta[A]Phenanthren-17-Yl] Ester [(3S,10R,13S,17R)-17-Ethynyl-17-Hydroxy-13-Methyl-2,3,6,7,8,9,10,11,12,14,15,16-Dodecahydro-1H-Cyclopenta[A]Phenanthren-3-Yl] Ester; Succinic Acid [(8R,9S,10R,13S,14S,17S)-3-Keto-10,13-Dimethyl-1,2,6,7,8,9,11,12,14,15,16,17-Dodecahydrocyclopenta[A]Phenanthren-17-Yl] Ester [(3S,10R,13S,17R)-17-Ethynyl-17-Hydroxy-13-Methyl-2,3,6,7,8,9,10,11,12,14,15,16-Dodecahydro-1H-Cyclopenta[A]Phenanthren-3-Yl] Ester; 3-Oxo-4-Androsten-17-Beta-Yl-(17-Beta-Hydroxy-17-Alpha-Ethynyl-4-Estren-3-Beta-Yl)-Succinate
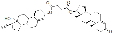
Molecular Structure CAS#: 61083-04-3, Ethynodiol Testosterone Ester
Molecular Formula C43H58O6
Molecular Weight 670.93
CAS Registry Number 61083-04-3
SMILES [C@H]68[C@H]5[C@@]([C@@H](OC(=O)CCC(O[C@@H]4C=C3[C@@H](C2C(C1[C@@]([C@@](O)(CC1)C#C)(CC2)C)CC3)CC4)=O)CC5)(CC[C@@H]6[C@@]7(C(=CC(=O)CC7)CC8)C)C
InChI 1S/C43H58O6/c1-5-43(47)23-19-36-32-9-6-26-24-29(8-11-30(26)31(32)17-22-42(36,43)4)48-38(45)14-15-39(46)49-37-13-12-34-33-10-7-27-25-28(44)16-20-40(27,2)35(33)18-21-41(34,37)3/h1,24-25,29-37,47H,6-23H2,2-4H3/t29-,30-,31?,32?,33-,34-,35-,36?,37-,40-,41-,42-,43-/m0/s1
InChIKey SXTNFDJCRGXTJI-KOLYNAKGSA-N
Market Analysis Reports
Related Products
5,5'-(1,2-Ethyn...  1,1'-(1,2-Ethyn...  3,3'-(1,2-Ethyn...  1,1'-[1,2-Ethyn...  1,1'-(1,2-Ethyn...  1,2-Ethynediylb...  1,1'-(1,2-Ethyn...  4,4'-(1,2-Ethyn...  Ethynerone;17-A...  Ethynodiol diac...  Ethynol;Chebi:3...  5-Ethynyl-1-(2’...  1-Ethynyladaman...  2'-C-Ethynylade...  4-Ethynylanilin...  2-Ethynylanilin...  3-Ethynylanilin...  2-Ethynylanisol...  4-Ethynylanisol...  3-Ethynylanisol...