Online Database of Chemicals from Around the World

1-Kestoheptaose
[CAS 62512-20-3]

List of Suppliers
Chengdu Biopurify Phytochemicals Ltd. China
www.phytopurify.com
+86 (28) 8263-3860
8263-3987
+86 (28) 8263-3165
sales@biopurify.com
biopurify@gmail.com
QQ Chat
Skype Chat
Chemical manufacturer
chemBlink Standard supplier since 2017

Identification
Name1-Kestoheptaose
SynonymsO-beta-D-Fructofuranosyl-(2→1)-O-beta-D-fructofuranosyl-(2→1)-O-beta-D-fructofuranosyl-(2→1)-O-beta-D-fructofuranosyl-(2→1)-O-beta-D-fructofuranosyl-(2→1)-beta-D-fructofuranosyl alpha-D-glucopyranoside
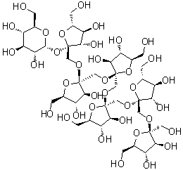
Molecular Structure1-Kestoheptaose molecular structure (CAS 62512-20-3)
Molecular FormulaC42H72O36
Molecular Weight1153.00
CAS Registry Number62512-20-3
Properties
Density1.89±0.1 g/cm3 (20 °C 760 Torr), Calc.*
*Calculated using Advanced Chemistry Development (ACD/Labs) Software V11.02 (©1994-2018 ACD/Labs)
Market Analysis Reports
Related Products
Keratin  Keratins  Keratins, Lauro...  Kernechtrot-Alu...  Kerosene  Kerosine (Petro...  Kerriamycin A  Kerriamycin B  Kerriamycin C  alpha-Kessyl Al...  1,1,1,1-Kestohe...  (+)-Ketamine  Ketamine  Ketamine-d4 Hyd...  Ketamine hydroc...  (S)-(+)-Ketamin...  Ketanserin  Ketanserinol  Ketanserin tart...  Ketazocine Hydr...