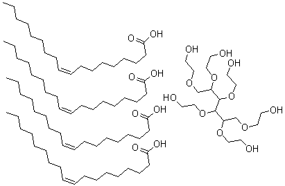
Identification
| Name |
Polyoxyethylene sorbitol tetraoleate |
| Synonyms |
2-[1-[1,2-Bis(2-Hydroxyethoxy)Ethyl]-2,3,4-Tris(2-Hydroxyethoxy)Butoxy]Ethanol; (Z)-Octadec-9-Enoic Acid; Nikkol Go 4; Nikkol Go 430 |
|
| Molecular Structure |
 |
| Molecular Formula |
C90H174O20 |
| CAS Registry Number |
63089-86-1 |
| SMILES |
C(OCCO)C(OCCO)C(OCCO)C(OCCO)C(OCCO)COCCO.C(C(=O)O)CCCCCC\C=C/CCCCCCCC.C(C(=O)O)CCCCCC\C=C/CCCCCCCC.C(C(=O)O)CCCCCC\C=C/CCCCCCCC.C(C(=O)O)CCCCCC\C=C/CCCCCCCC |
| InChI |
1S/C18H38O12.4C18H34O2/c19-1-7-25-13-15(27-9-3-21)17(29-11-5-23)18(30-12-6-24)16(28-10-4-22)14-26-8-2-20;4*1-2-3-4-5-6-7-8-9-10-11-12-13-14-15-16-17-18(19)20/h15-24H,1-14H2;4*9-10H,2-8,11-17H2,1H3,(H,19,20)/b;4*10-9- |
| InChIKey |
BKQXIFUXIHZZSI-WBUFAJEVSA-N |
|