Online Database of Chemicals from Around the World

Lodoxamide tromethamine
[CAS 63610-09-3]

List of Suppliers
Asia Talent Chemical Limited China
www.atchem.net
+86 (755) 8665-5561
+86 (755) 8665-5591
jeffreyxu@atchem.net
sinochemxu@hotmail.com
asiatalentchem@gmail.com
QQ Chat
Skype Chat
Chemical manufacturer
chemBlink Standard supplier since 2007
BOC Sciences USA
www.bocsci.com
+1 (631) 485-4226
+1 (631) 614-7828
info@bocsci.com
Chemical manufacturer
chemBlink Standard supplier since 2010
CarboMer, Inc. USA
www.carbomer.com
+1 (858) 552-0992
+1 (858) 552-0999
sales@carbomer.com
Chemical manufacturer

Identification
ClassificationAPI >> Other chemicals
NameLodoxamide tromethamine
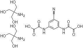
Molecular StructureLodoxamide tromethamine molecular structure (CAS 63610-09-3)
Molecular FormulaC11H6ClN3O6.2(C4H11NO3)
Molecular Weight553.14
CAS Registry Number63610-09-3
EC Number809-374-7
Safety Data
Hazard Classification
up    Details
HazardClassCategory CodeHazard Statement
Eye irritationEye Irrit.2H319
Skin irritationSkin Irrit.2H315
Specific target organ toxicity - single exposureSTOT SE3H335
SDSAvailable
Market Analysis Reports
Related Products
Locustatachykin...  Locustatachykin...  Locustatachykin...  Locustatachykin...  Lodaxaprine  Lodazecar  Lodenafil Carbo...  Lodinixil  Lodoxamide  Lodoxamide Ethy...  Lofenal  Lofendazam  Lofentanil  Lofentanil  Lofepramine  Lofepramine hyd...  Lofexidine  Lofexidine hydr...  Loflucarban  Loganetin