Online Database of Chemicals from Around the World

Polymyxin S1
[CAS 63700-38-9]

Suppliers
CAS#: 63700-38-9
Product: Polymyxin S1
No suppilers available for the product.
Identification
Name Polymyxin S1
Synonyms N-[3-Amino-1-[[2-Hydroxy-1-[[1-(Hydroxymethyl)-2-Oxo-2-[[6,9,18-Tris(2-Aminoethyl)-3,12-Bis(1-Hydroxyethyl)-2,5,8,11,14,17,20-Heptaoxo-15-(Phenylmethyl)-1,4,7,10,13,16,19-Heptazacyclotricos-21-Yl]Amino]Ethyl]Carbamoyl]Propyl]Carbamoyl]Propyl]-6-Methyl-Octanamide; N-[3-Amino-1-[[[2-Hydroxy-1-[[[1-(Hydroxymethyl)-2-Oxo-2-[[6,9,18-Tris(2-Aminoethyl)-3,12-Bis(1-Hydroxyethyl)-2,5,8,11,14,17,20-Heptaoxo-15-(Phenylmethyl)-1,4,7,10,13,16,19-Heptazacyclotricos-21-Yl]Amino]Ethyl]Amino]-Oxomethyl]Propyl]Amino]-Oxomethyl]Propyl]-6-Methyloctanamide; N-[3-Amino-1-[[2-Hydroxy-1-[[2-Keto-1-Methylol-2-[[6,9,18-Tris(2-Aminoethyl)-15-(Benzyl)-3,12-Bis(1-Hydroxyethyl)-2,5,8,11,14,17,20-Heptaketo-1,4,7,10,13,16,19-Heptazacyclotricos-21-Yl]Amino]Ethyl]Carbamoyl]Propyl]Carbamoyl]Propyl]-6-Methyl-Caprylamide
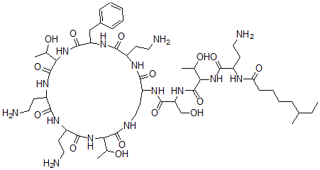
Molecular Structure CAS#: 63700-38-9, Polymyxin S1
Molecular Formula C53H91N15O15
Molecular Weight 1178.39
CAS Registry Number 63700-38-9
SMILES C2=C(CC1NC(=O)C(NC(=O)C(NC(=O)C(NC(=O)C(NC(=O)C(NC(=O)CCCCC(CC)C)CCN)C(O)C)CO)CCNC(=O)C(NC(=O)C(NC(=O)C(NC(=O)C(NC1=O)C(O)C)CCN)CCN)C(O)C)CCN)C=CC=C2
InChI 1S/C53H91N15O15/c1-6-28(2)12-10-11-15-40(73)59-33(16-21-54)47(77)67-43(31(5)72)53(83)65-39(27-69)50(80)62-37-20-25-58-51(81)41(29(3)70)66-48(78)36(19-24-57)61-44(74)35(18-23-56)63-52(82)42(30(4)71)68-49(79)38(26-32-13-8-7-9-14-32)64-45(75)34(17-22-55)60-46(37)76/h7-9,13-14,28-31,33-39,41-43,69-72H,6,10-12,15-27,54-57H2,1-5H3,(H,58,81)(H,59,73)(H,60,76)(H,61,74)(H,62,80)(H,63,82)(H,64,75)(H,65,83)(H,66,78)(H,67,77)(H,68,79)
InChIKey QKTORMYLLAWGLE-UHFFFAOYSA-N
Properties
Density 1.332g/cm3 (Cal.)
Boiling point 1616.96°C at 760 mmHg (Cal.)
Flash point 931.704°C (Cal.)
Market Analysis Reports
Related Products
Poly(3-Methylth...  Poly-5-Methylth...  Poly(N-Methylvi...  Poly(methyl vin...  Poly(3-methyl-1...  Poly-2-Methyl-5...  Polymixin;[(1S)...  Polymixin E1;(6...  Poly[(6-morphol...  Polymyxin B(1);...  Polymyxin T1;N-...  Polymyxin D;N-[...  Polymyxin M;N-[...  Polymyxin B Non...  Polymyxin B sul...  Polynactin  Poly(1-Naphthyl...  Polyneopentyl G...  Poly[nitrilo[bi...  Poly[Nitrilo(Di...