|
CAS#: 64280-16-6 Product: Kaurane-3,16,17-Triol-3-O-beta-Glucopyranosyl-17-O-beta-Glucopyranoside No suppilers available for the product. |
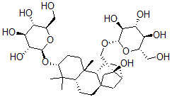
| Name | Kaurane-3,16,17-Triol-3-O-beta-Glucopyranosyl-17-O-beta-Glucopyranoside |
|---|---|
| Synonyms | Kaurane-Glup-Glup; Beta-D-Glucopyranoside, (3Alpha)-16-Hydroxykaurane-3,17-Diyl Bis- |
| Molecular Structure | ![]() |
| Molecular Formula | C32H54O13 |
| Molecular Weight | 646.77 |
| CAS Registry Number | 64280-16-6 |
| SMILES | [C@@]23([C@@H](C(C)(C)[C@H](O[C@H]1[C@@H]([C@@H](O)[C@@H]([C@H](O1)CO)O)O)CC2)CC[C@@]46[C@H]3CC[C@@H]([C@](C4)(CO[C@@H]5[C@H]([C@H](O)[C@H]([C@@H](O5)CO)O)O)O)C6)C |
| InChI | 1S/C32H54O13/c1-29(2)18-6-9-31-10-15(32(41,13-31)14-42-27-25(39)23(37)21(35)16(11-33)43-27)4-5-19(31)30(18,3)8-7-20(29)45-28-26(40)24(38)22(36)17(12-34)44-28/h15-28,33-41H,4-14H2,1-3H3/t15-,16+,17-,18-,19+,20-,21+,22-,23-,24+,25+,26-,27+,28+,30-,31+,32+/m1/s1 |
| InChIKey | SEICMRDJFDBLKU-HFUYXQKZSA-N |
| Density | 1.444g/cm3 (Cal.) |
|---|---|
| Boiling point | 828.08°C at 760 mmHg (Cal.) |
| Flash point | 454.606°C (Cal.) |
| Market Analysis Reports |