Online Database of Chemicals from Around the World

Baumycins
[CAS 64314-28-9]

Suppliers
CAS#: 64314-28-9
Product: Baumycins
No suppilers available for the product.
Identification
Name Baumycins
Synonyms (7S,9S)-9-Acetyl-7-[(2R,4S,5S,6S)-4-Amino-5-[3-Hydroxy-1-(2-Hydroxy-1-Methyl-Ethoxy)Butoxy]-6-Methyl-Tetrahydropyran-2-Yl]Oxy-6,9,11-Trihydroxy-4-Methoxy-8,10-Dihydro-7H-Tetracene-5,12-Dione; (7S,9S)-9-Acetyl-7-[[(2R,4S,5S,6S)-4-Amino-5-[3-Hydroxy-1-(2-Hydroxy-1-Methylethoxy)Butoxy]-6-Methyl-2-Tetrahydropyranyl]Oxy]-6,9,11-Trihydroxy-4-Methoxy-8,10-Dihydro-7H-Tetracene-5,12-Dione; (7S,9S)-9-Acetyl-7-[(2R,4S,5S,6S)-4-Amino-5-[3-Hydroxy-1-(2-Hydroxy-1-Methyl-Ethoxy)Butoxy]-6-Methyl-Tetrahydropyran-2-Yl]Oxy-6,9,11-Trihydroxy-4-Methoxy-8,10-Dihydro-7H-Tetracene-5,12-Quinone
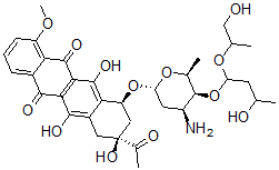
Molecular Structure CAS#: 64314-28-9, Baumycins
Molecular Formula C34H43NO13
Molecular Weight 673.71
CAS Registry Number 64314-28-9
SMILES [C@@H]3(O[C@@H]1O[C@H]([C@@H](OC(OC(CO)C)CC(O)C)[C@@H](N)C1)C)C2=C(O)C5=C(C(=C2C[C@](O)(C3)C(=O)C)O)C(=O)C4=CC=CC(=C4C5=O)OC
InChI 1S/C34H43NO13/c1-14(37)9-23(45-15(2)13-36)48-33-16(3)46-24(10-20(33)35)47-22-12-34(43,17(4)38)11-19-26(22)32(42)28-27(30(19)40)29(39)18-7-6-8-21(44-5)25(18)31(28)41/h6-8,14-16,20,22-24,33,36-37,40,42-43H,9-13,35H2,1-5H3/t14?,15?,16-,20-,22-,23?,24-,33+,34-/m0/s1
InChIKey MWURQTZZKGQQIE-GRZLGHIZSA-N
Properties
Density 1.457g/cm3 (Cal.)
Boiling point 897.371°C at 760 mmHg (Cal.)
Flash point 496.512°C (Cal.)
Market Analysis Reports
Related Products
Batrachotoxinin...  Batrachotoxinin...  Batrachotoxinin...  Batrachotoxinin...  Batrachotoxinin...  Batrachotoxinin...  Batyl alcohol;D...  Batyl Stearate  Bauerenol;Bauer...  Bauerenol aceta...  Bauxite;Porocel...  Bavachalcone;Br...  Bavachin;(2S)-2...  Bavachinin A;(2...  Bavachromene;(2...  Bavisant dihydr...  Bavituximab;Tar...  Baxitozine;(E)-...  BAY-41-8543  BAY 38-7271;4,4...