Online Database of Chemicals from Around the World

Dulcoside A
[CAS 64432-06-0]

List of Suppliers
BOC Sciences USA
www.bocsci.com
+1 (631) 485-4226
+1 (631) 614-7828
info@bocsci.com
Chemical manufacturer
chemBlink Standard supplier since 2010
Carbosynth China Ltd. China
www.carbosynth.cn
+86 (512) 6260-5585
+86 (512) 6260-5576
sales@carbosynth.com
QQ Chat
Chemical manufacturer since 2006
chemBlink Standard supplier since 2016
Chengdu Biopurify Phytochemicals Ltd. China
www.phytopurify.com
+86 (28) 8263-3860
8263-3987
+86 (28) 8263-3165
sales@biopurify.com
biopurify@gmail.com
QQ Chat
Skype Chat
Chemical manufacturer
chemBlink Standard supplier since 2017

Identification
ClassificationAnalytical chemistry >> Standard >> Food and beverage standards
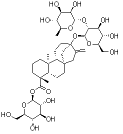
NameDulcoside A
Synonyms(4alpha)-13-[[2-O-(6-deoxy-alpha-L-mannopyranosyl)-beta-D-glucopyranosyl]oxy]-Kaur-16-en-18-oic acid beta-D-glucopyranosyl ester
Molecular StructureDulcoside A molecular structure (CAS 64432-06-0)
Molecular FormulaC38H60O17
Molecular Weight788.87
CAS Registry Number64432-06-0
Properties
SolubilityPractically insoluble (0.023 g/L) (25 °C), Calc.*
Density1.49±0.1 g/cm3 (20 °C 760 Torr), Calc.*
*Calculated using Advanced Chemistry Development (ACD/Labs) Software V11.02 (©1994-2019 ACD/Labs)
Safety Data
SDSAvailable
Market Analysis Reports
Related Products
Dtpa Ferric Che...  (Dtpa-Phe(1))-O...  (1R,1'R,2S,2'S)...  Ducheside A  Duclauxin  Dulaglutide  Dulanermin  Dulcerozine  Dulcioic acid  Dulcitol  Dulofibrate  Duloxetine  Duloxetine  (R)-Duloxetine  Duloxetine-d7  Duloxetine EP I...  Duloxetine EP I...  Duloxetine EP I...  Duloxetine hydr...  (R)-Duloxetine ...