Online Database of Chemicals from Around the World

2,24-Diacetyl-13-[6-[[2-(Ethoxycarbonyl)-1,3-Dioxobutyl]Amino]Hexyl]-3,12,14,23-Tetraoxo-4,11,13,15,22-Pentaazapentacosanedioicacid 1,25-Diethyl Ester
[CAS 64762-96-5]

Suppliers
Alfa Chemistry USA
+1 (201) 478-8534
inquiry@alfa-chemistry.com
Chemical distributor since 2012
chemBlink standard supplier since 2012
BOC Sciences USA
+1 (631) 485-4226
info@bocsci.com
Skype Chat
Chemical distributor
chemBlink massive supplier since 2012
Identification
Name 2,24-Diacetyl-13-[6-[[2-(Ethoxycarbonyl)-1,3-Dioxobutyl]Amino]Hexyl]-3,12,14,23-Tetraoxo-4,11,13,15,22-Pentaazapentacosanedioicacid 1,25-Diethyl Ester
Synonyms Ethyl 2-[6-[Bis[6-[(2-Ethoxycarbonyl-3-Oxo-Butanoyl)Amino]Hexylcarbamoyl]Amino]Hexylcarbamoyl]-3-Oxo-Butanoate; 2-[[6-[Bis[[6-[(2-Ethoxycarbonyl-1,3-Dioxobutyl)Amino]Hexylamino]-Oxomethyl]Amino]Hexylamino]-Oxomethyl]-3-Oxobutanoic Acid Ethyl Ester; 2-[6-[Bis[6-[(2-Carbethoxy-3-Keto-Butanoyl)Amino]Hexylcarbamoyl]Amino]Hexylcarbamoyl]-3-Keto-Butyric Acid Ethyl Ester
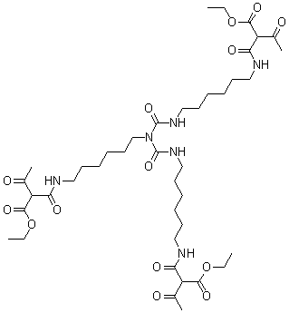
Molecular Structure CAS#: 64762-96-5, 2,24-Diacetyl-13-[6-[[2-(Ethoxycarbonyl)-1,3-Dioxobutyl]Amino]Hexyl]-3,12,14,23-Tetraoxo-4,11,13,15,22-Pentaazapentacosanedioicacid 1,25-Diethyl Ester
Molecular Formula C41H68N6O14
Molecular Weight 869.02
CAS Registry Number 64762-96-5
EINECS 265-231-3
SMILES C(N(C(=O)NCCCCCCNC(=O)C(C(OCC)=O)C(=O)C)C(=O)NCCCCCCNC(=O)C(C(OCC)=O)C(=O)C)CCCCCNC(=O)C(C(OCC)=O)C(=O)C
InChI 1S/C41H68N6O14/c1-7-59-37(54)31(28(4)48)34(51)42-22-16-10-12-19-25-45-40(57)47(27-21-15-14-18-24-44-36(53)33(30(6)50)39(56)61-9-3)41(58)46-26-20-13-11-17-23-43-35(52)32(29(5)49)38(55)60-8-2/h31-33H,7-27H2,1-6H3,(H,42,51)(H,43,52)(H,44,53)(H,45,57)(H,46,58)
InChIKey QBVHDXKWFUUQRE-UHFFFAOYSA-N
Properties
Density 1.166g/cm3 (Cal.)
Market Analysis Reports
Related Products
(1R,4aS,10aS)-6...  3,5-Diacetyl-2,...  3-(2,6-Diacetyl...  3,5-Diacetyl-2,...  Diacetyl 2,4-Di...  1,3-Diacetyl-5,...  4,4'-Diacetyldi...  5,14-Diacetyl-7...  Diacetyldipheny...  Diacetyl disulf...  N,N'-Diacetylet...  Diacetylfecapen...  1,1'-Diacetylfe...  2,7-Diacetyl Fl...  2,7-Diacetyl-9H...  3',5'-Di-O-acet...  1-O-(2',3'-Diac...  2,5-Diacetylfur...  4’,5-Di-O-acety...  4’,5-Di-O-acety...