Online Database of Chemicals from Around the World

6A-[[2-[[2-[(2-Aminoethyl)amino]ethyl]amino]ethyl]amino]-6A-deoxy-beta-cyclodextrin
[CAS 65294-33-9]

List of Suppliers
Tocopharm (Shanghai) Co., Limited China
www.tocopharm.com
+86 (21) 3160-8287
+86 13776836200
+86 (21) 6129-2409
info@tocopharm.com
QQ Chat
Chemical manufacturer since 2012
chemBlink Standard supplier since 2009
Neostar United (Changzhou) Industrial Co., Ltd. China
www.neostarunited.com
+86 (519) 8555-7386
+86 18015025600
+86 (519) 8555-7389
marketing1@neostarunited.com
Chemical distributor since 2014
chemBlink Standard supplier since 2020

Identification
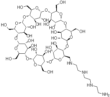
Name6A-[[2-[[2-[(2-Aminoethyl)amino]ethyl]amino]ethyl]amino]-6A-deoxy-beta-cyclodextrin
Molecular Structure6A-[[2-[[2-[(2-Aminoethyl)amino]ethyl]amino]ethyl]amino]-6A-deoxy-beta-cyclodextrin molecular structure (CAS 65294-33-9)
Molecular FormulaC48H86N4O34
Molecular Weight1263.20
CAS Registry Number65294-33-9
Properties
SolubilityVery soluble (1000 g/L) (25 °C), Calc.*
Density1.521±0.06 g/cm3 (20 °C 760 Torr), Calc.*
*Calculated using Advanced Chemistry Development (ACD/Labs) Software V11.02 (©1994-2017 ACD/Labs)
Market Analysis Reports
Related Products
1-Amino-4-(Ethy...  1-Amino-4-(Ethy...  7-[(2-Aminoethy...  (3S)-(4R,5S)-5-...  2-[(2-Aminoethy...  2-[(2-Aminoethy...  2-(2-Aminoethyl...  6-[2-[(2-Aminoe...  2-(2-(2-Aminoet...  N-[2-[[2-[(2-Am...  2-[2-[2-[2-(2-A...  N-[2-[[2-[[2-[(...  N-[2-[2-[2-(2-A...  N-(2-{[2-({2-[(...  1-[2-[[2-[[2-[(...  N-[2-[[2-[[2-[(...  N-(2-{[2-({2-[(...  1-(2-{[2-({2-[(...  N-[2-[[2-[[2-[(...  N-[2-[[2-[[2-[(...