| Cambridge Isotope Laboratories, Inc. | USA | |||
|---|---|---|---|---|
![]() | www.isotope.com | |||
![]() | +1 (978) 749-8000 | |||
![]() | +1 (978) 749-2768 | |||
![]() | cilsales@isotope.com | |||
| Chemical manufacturer | ||||
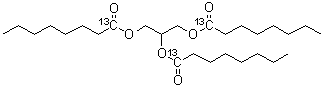
| Name | Octanoic-1-<sup>13</sup>C acid 1,2,3-propanetriyl ester |
|---|---|
| Molecular Structure | ![]() |
| Molecular Formula | C27H50O6 |
| Molecular Weight | 470.68 |
| CAS Registry Number | 65402-55-3 |
| SDS | Available |
|---|---|
| Market Analysis Reports |