| Carbosynth China Ltd. | China | |||
|---|---|---|---|---|
![]() |
+86 (512) 6260-5585 | |||
![]() |
sales@carbosynth.com | |||
![]() |
QQ Chat | |||
| Chemical manufacturer since 2006 Chemical distributor since 2006 | ||||
| chemBlink massive supplier since 2016 | ||||
| BOC Sciences | USA | |||
|---|---|---|---|---|
![]() |
+1 (631) 485-4226 | |||
![]() |
info@bocsci.com | |||
![]() |
Skype Chat | |||
| Chemical distributor | ||||
| chemBlink massive supplier since 2012 | ||||
| Biosynth AG. | Switzerland | |||
|---|---|---|---|---|
![]() |
+41 (71) 858-2020 | |||
![]() |
welcome@biosynth.ch | |||
| Chemical manufacturer | ||||
| Carbosynth Limited | UK | |||
|---|---|---|---|---|
![]() |
+44 (1635) 578-444 | |||
![]() |
sales@carbosynth.com | |||
| Chemical manufacturer | ||||
| Glentham Life Sciences | UK | |||
|---|---|---|---|---|
![]() |
+44 (2033) 978-798 | |||
![]() |
info@glenthamls.com | |||
| Chemical distributor since 2013 | ||||
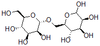
| Classification | Biochemical >> Carbohydrate >> Monosaccharide |
|---|---|
| Name | 6-O-alpha-D-Mannopyranosyl-D-Mannopyranose |
| Molecular Structure | ![]() |
| CAS Registry Number | 6614-35-3 |
| Market Analysis Reports |