Online Database of Chemicals from Around the World

Crassolide
[CAS 66656-91-5]

Suppliers
CAS#: 66656-91-5
Product: Crassolide
No suppilers available for the product.
Identification
Name Crassolide
Synonyms Crassolide; Oxireno(13,14)Cyclotetradeca(1,2-B)Furan-13(1Ah)-One, 2,6,11-Tris(Acetyloxy)-2,3,6,7,10,11,11A,12,14A,14B-Decahydro-1A,5,9-Trimethyl-12-Methylene-, (1As-(1Ar*,2S*,4E,6R*,8E,11S*,11As*,14Ar*,14Br*))-
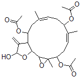
Molecular Structure CAS#: 66656-91-5, Crassolide
Molecular Formula C26H36O9
Molecular Weight 492.57
CAS Registry Number 66656-91-5
SMILES CC13OC1C2OC(O)C(C2C(OC(=O)C)CC(=C/CC(OC(=O)C)C(=C/CC3OC(=O)C)\C)/C)=C
InChI 1S/C26H36O9/c1-13-8-10-19(31-16(4)27)14(2)9-11-21(33-18(6)29)26(7)24(35-26)23-22(15(3)25(30)34-23)20(12-13)32-17(5)28/h8-9,19-25,30H,3,10-12H2,1-2,4-7H3/b13-8+,14-9-
InChIKey URSNRAUXXIOGIJ-MGDWIPCISA-N
Market Analysis Reports
Related Products
CPI-637;CPI-637...  CPTH2  C1q, Human  Crabescein;4-(3...  Crabrolin;(2S)-...  Crambescidin 81...  CRAMP 18;Glycyl...  Cranomycin;[(1S...  Crassanine;8'-E...  Crassicauline A...  Crataegus Monog...  Cratoxylone;1,3...  Creatinase;Crea...  Creatine;N-(Ami...  Creatine citrat...  Creatine citrat...  Creatine-D3 Hyd...  Creatine ethyl ...  Creatine hydroc...  Creatine malate