| Achemica | Switzerland | |||
|---|---|---|---|---|
![]() |
+41 (24) 466-2929 | |||
![]() |
contact@achemica.com | |||
| Chemical manufacturer since 2010 | ||||
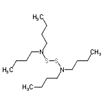
| Name | N,N'-Disulfanediylbis(N-butyl-1-butanamine) |
|---|---|
| Synonyms | BIS(DIBUTYLAMINO)DISULFIDE |
| Molecular Structure | ![]() |
| Molecular Formula | C16H36N2S2 |
| Molecular Weight | 320.60 |
| CAS Registry Number | 67271-09-4 |
| SMILES | CCCCN(SSN(CCCC)CCCC)CCCC |
| InChI | 1S/C16H36N2S2/c1-5-9-13-17(14-10-6-2)19-20-18(15-11-7-3)16-12-8-4/h5-16H2,1-4H3 |
| InChIKey | PAJQNXUWYZXFIX-UHFFFAOYSA-N |
| Density | 0.957g/cm3 (Cal.) |
|---|---|
| Boiling point | 395.072°C at 760 mmHg (Cal.) |
| Flash point | 192.733°C (Cal.) |
| Market Analysis Reports |