| KaïronKem | France | |||
|---|---|---|---|---|
![]() |
+33 (4) 9150-9802 | |||
![]() |
info@kaironkem.com | |||
| Chemical manufacturer since 2004 | ||||
| Ryan Scientific, Inc. | USA | |||
|---|---|---|---|---|
![]() |
+1 (843)-884-4911 | |||
![]() |
sales@ryansci.com | |||
| Chemical manufacturer | ||||
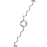
| Name | 1,4-Bis(hexyloxy)benzene |
|---|---|
| Synonyms | 1,4-bis(hexyloxy)benzene; 1,4-dihexyloxybenzene |
| Molecular Structure | ![]() |
| Molecular Formula | C18H30O2 |
| Molecular Weight | 278.43 |
| CAS Registry Number | 67399-93-3 |
| SMILES | CCCCCCOC1=CC=C(C=C1)OCCCCCC |
| InChI | 1S/C18H30O2/c1-3-5-7-9-15-19-17-11-13-18(14-12-17)20-16-10-8-6-4-2/h11-14H,3-10,15-16H2,1-2H3 |
| InChIKey | ASWOZWYFBVLCMR-UHFFFAOYSA-N |
| Density | 0.9±0.1g/cm3 (Cal.) |
|---|---|
| Boiling point | 373.6±15.0°C at 760 mmHg (Cal.) |
| Flash point | 126.3±19.9°C (Cal.) |
| (1) | Sumio Maruyama and Yuji Kawanishi. Syntheses and emission properties of novel violet-blue emissive aromatic bis(diazaborole)s, J. Mater. Chem., 2002, 12, 2245. |
|---|---|
| Market Analysis Reports |