Online Database of Chemicals from Around the World

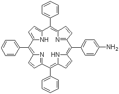
4-(10,15,20-Triphenylporphyrin-5-yl)phenylamine
[CAS 67605-64-5]

List of Suppliers
Porphyrin Systems Germany
www.porphyrin-systems.de
+49 (40) 6466-5860
+49 (40) 6466-5861
hombrecher@porphyrin-systems.de
Chemical manufacturer since 1999
chemBlink Standard supplier since 2010
Chengdu Aslee Biopharmaceuticals, Inc. China
www.asleechem.com
+86 (28) 8530-5008
+86 15102825326
may.yang@asleechem.com
QQ Chat
Skype Chat
Chemical manufacturer since 2013
chemBlink Standard supplier since 2020

Identification
Name4-(10,15,20-Triphenylporphyrin-5-yl)phenylamine
Synonyms5-(4-Aminophenyl)-10,15,20-triphenyl-21H,23H-porphine; 4-(10,15,20-Triphenyl-21H,23H-porphin-5-yl)benzenamine
Molecular Structure4-(10,15,20-Triphenylporphyrin-5-yl)phenylamine molecular structure (CAS 67605-64-5)
Molecular FormulaC44H31N5
Molecular Weight629.75
CAS Registry Number67605-64-5
Properties
Density1.278
Safety Data
SDSAvailable
Market Analysis Reports
Related Products
2-(Triphenylpho...  2-(Triphenylpho...  2,3,6-Tri(Pheny...  2,3,6-Tri(Pheny...  N-[2,3,6-Tri(Ph...  Triphenyl(Pival...  Tri(Phenyl)Plum...  2-[3-[4-Tri(Phe...  3-(Triphenylplu...  4-(10,15,20-Tri...  N,2,3-Tri(Pheny...  (T-4)-triphenyl...  (2S)-1,1,3-Trip...  1,1,3-Triphenyl...  1,1,1-Triphenyl...  1,3,3-Triphenyl...  1,1,1-Triphenyl...  1,1,3-Triphenyl...  Triphenylpropar...  N,3,3-Triphenyl...