Online Database of Chemicals from Around the World

beta-D-Fructofuranosyl O-beta-D-galactopyranosyl-(1→3)-alpha-D-glucopyranoside
[CAS 686717-73-7]

List of Suppliers
Carbosynth China Ltd. China
www.carbosynth.cn
+86 (512) 6260-5585
+86 (512) 6260-5576
sales@carbosynth.com
QQ Chat
Chemical manufacturer since 2006
chemBlink Standard supplier since 2016

Identification
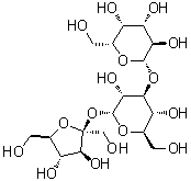
Namebeta-D-Fructofuranosyl O-beta-D-galactopyranosyl-(1→3)-alpha-D-glucopyranoside
Molecular Structurebeta-D-Fructofuranosyl O-beta-D-galactopyranosyl-(1→3)-alpha-D-glucopyranoside molecular structure (CAS 686717-73-7)
Molecular FormulaC18H32O16
Molecular Weight504.44
CAS Registry Number686717-73-7
Properties
SolubilitySoluble (34 g/L) (25 °C), Calc.*
Density1.81±0.1 g/cm3 (20 °C 760 Torr), Calc.*
*Calculated using Advanced Chemistry Development (ACD/Labs) Software V11.02 (©1994-2016 ACD/Labs)
Market Analysis Reports
Related Products
beta-Fructofura...  O-beta-D-Fructo...  O-beta-D-Fructo...  O-beta-D-Fructo...  [O-beta-D-Fruct...  [O-beta-D-Fruct...  O-beta-D-Fructo...  1-O-beta-D-Fruc...  alpha-D-Fructof...  beta-D-Fructofu...  beta-D-Fructofu...  beta-D-Fructofu...  beta-D-Fructofu...  beta-D-Fructofu...  beta-D-Fructofu...  O-beta-D-Fructo...  beta-D-Fructofu...  beta-D-[Ul-13C6...  Fructone  Fructooligosacc...