Online Database of Chemicals from Around the World

(Z,2R)-2-hydroxy-N-[(2S,4E,8E)-3-hydroxy-9-methyl-1-[(2R,3R,4S,5S,6R)-3,4,5-Trihydroxy-6-(hydroxymethyl)oxan-2-yl]oxy-octadeca-4,8-dien-2-yl]octadec-3-enamide
[CAS 70711-60-3]

Suppliers
CAS#: 70711-60-3
Product: (Z,2R)-2-hydroxy-N-[(2S,4E,8E)-3-hydroxy-9-methyl-1-[(2R,3R,4S,5S,6R)-3,4,5-Trihydroxy-6-(hydroxymethyl)oxan-2-yl]oxy-octadeca-4,8-dien-2-yl]octadec-3-enamide
No suppilers available for the product.
Identification
Name (Z,2R)-2-hydroxy-N-[(2S,4E,8E)-3-hydroxy-9-methyl-1-[(2R,3R,4S,5S,6R)-3,4,5-Trihydroxy-6-(hydroxymethyl)oxan-2-yl]oxy-octadeca-4,8-dien-2-yl]octadec-3-enamide
Synonyms (Z,2R)-2-Hydroxy-N-[(1S,3E,7E)-2-Hydroxy-8-Methyl-1-[[(2R,3R,4S,5S,6R)-3,4,5-Trihydroxy-6-(Hydroxymethyl)Tetrahydropyran-2-Yl]Oxymethyl]Heptadeca-3,7-Dienyl]Octadec-3-Enamide; (Z,2R)-2-Hydroxy-N-[(1S,3E,7E)-2-Hydroxy-8-Methyl-1-[[(2R,3R,4S,5S,6R)-3,4,5-Trihydroxy-6-(Hydroxymethyl)-2-Tetrahydropyranyl]Oxymethyl]Heptadeca-3,7-Dienyl]Octadec-3-Enamide; (Z,2R)-2-Hydroxy-N-[(1S,3E,7E)-2-Hydroxy-8-Methyl-1-[[(2R,3R,4S,5S,6R)-3,4,5-Trihydroxy-6-Methylol-Tetrahydropyran-2-Yl]Oxymethyl]Heptadeca-3,7-Dienyl]Octadec-3-Enamide
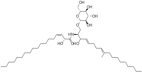
Molecular Structure CAS#: 70711-60-3, (Z,2R)-2-hydroxy-N-[(2S,4E,8E)-3-hydroxy-9-methyl-1-[(2R,3R,4S,5S,6R)-3,4,5-Trihydroxy-6-(hydroxymethyl)oxan-2-yl]oxy-octadeca-4,8-dien-2-yl]octadec-3-enamide
Molecular Formula C43H79NO9
Molecular Weight 754.10
CAS Registry Number 70711-60-3
SMILES [C@H]1(O)[C@@H](O[C@@H]([C@@H](O)[C@@H]1O)CO)OC[C@H](NC(=O)[C@H](O)\C=C/CCCCCCCCCCCCCC)C(O)\C=C\CC\C=C(\CCCCCCCCC)C
InChI 1S/C43H79NO9/c1-4-6-8-10-12-13-14-15-16-17-18-20-22-26-31-37(47)42(51)44-35(33-52-43-41(50)40(49)39(48)38(32-45)53-43)36(46)30-27-23-25-29-34(3)28-24-21-19-11-9-7-5-2/h26-27,29-31,35-41,43,45-50H,4-25,28,32-33H2,1-3H3,(H,44,51)/b30-27+,31-26-,34-29+/t35-,36?,37+,38+,39+,40-,41+,43+/m0/s1
InChIKey QSPMXWIFLDIBGD-CDZFXCMYSA-N
Properties
Density 1.088g/cm3 (Cal.)
Boiling point 891.092°C at 760 mmHg (Cal.)
Flash point 492.715°C (Cal.)
Market Analysis Reports
Related Products
4-((1-hydroxy-6...  5-Hydroxy-4-[[5...  3-Hydroxy-4-[[2...  [[1-Hydroxy-6-[...  [1-[(4S,5R)-4-H...  4-Hydroxy-N-[5-...  1-[(2R,4S,5R)-4...  1-[(4S,5R)-4-Hy...  5-hydroxy-8-(1-...  (±)-2-Hydroxy-5...  [(2R,3R,4S,5S)-...  1-Hydroxy-2-(Hy...  3-{[(2-{[(5R,6R...  (5R)-5-hydroxy-...  (1R,5R,6R)-5-Hy...  (2S,5R)-5-Hydro...  12-Hydroxy-13-(...  [4-Hydroxy-3-[(...  8-Hydroxy-7-((4...  4-Hydroxy-3-[2-...