Identification
| Name |
Disodium (3E)-3-[[4-[[(E)-4-[[4-[(2E)-2-(3-Carboxylato-4-Oxo-1-Cyclohexa-2,5-Dienylidene)Hydrazinyl]Phenyl]Amino]-4-Oxobut-2-Enoyl]Amino]Phenyl]Hydrazinylidene]-6-Oxocyclohexa-1,4-Diene-1-Carboxylate |
| Synonyms |
Disodium (3E)-3-[[4-[[(E)-4-[[4-[(N'e)-N'-(3-Carboxylato-4-Oxo-1-Cyclohexa-2,5-Dienylidene)Hydrazino]Phenyl]Amino]-4-Oxo-But-2-Enoyl]Amino]Phenyl]Hydrazono]-6-Oxo-Cyclohexa-1,4-Diene-1-Carboxylate; Disodium (3E)-3-[[4-[[(E)-4-[[4-[(N'e)-N'-(3-Carboxylato-4-Oxo-1-Cyclohexa-2,5-Dienylidene)Hydrazino]Phenyl]Amino]-1,4-Dioxobut-2-Enyl]Amino]Phenyl]Hydrazono]-6-Oxo-1-Cyclohexa-1,4-Dienecarboxylate; Disodium (3E)-3-[[4-[[(E)-4-[[4-[(N'e)-N'-(3-Carboxylato-4-Keto-1-Cyclohexa-2,5-Dienylidene)Hydrazino]Phenyl]Amino]-4-Keto-But-2-Enoyl]Amino]Phenyl]Hydrazono]-6-Keto-Cyclohexa-1,4-Diene-1-Carboxylate |
|
| Molecular Structure |
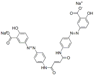
![CAS#: 72139-21-0, Disodium (3E)-3-[[4-[[(E)-4-[[4-[(2E)-2-(3-Carboxylato-4-Oxo-1-Cyclohexa-2,5-Dienylidene)Hydrazinyl]Phenyl]Amino]-4-Oxobut-2-Enoyl]Amino]Phenyl]Hydrazinylidene]-6-Oxocyclohexa-1,4-Diene-1-Carboxylate](/moreStructures/72139-21-0.gif) |
| Molecular Formula |
C30H20N6Na2O8 |
| Molecular Weight |
638.50 |
| CAS Registry Number |
72139-21-0 |
| EINECS |
276-377-2 |
| SMILES |
C3=C(NC(=O)\C=C\C(=O)NC2=CC=C(N\N=C1\C=C(C(=O)C=C1)C([O-])=O)C=C2)C=CC(=C3)N\N=C4\C=C(C(=O)C=C4)C([O-])=O.[Na+].[Na+] |
| InChI |
1S/C30H22N6O8.2Na/c37-25-11-9-21(15-23(25)29(41)42)35-33-19-5-1-17(2-6-19)31-27(39)13-14-28(40)32-18-3-7-20(8-4-18)34-36-22-10-12-26(38)24(16-22)30(43)44;;/h1-16,33-34H,(H,31,39)(H,32,40)(H,41,42)(H,43,44);;/q;2*+1/p-2/b14-13+,35-21+,36-22+;; |
| InChIKey |
AJUCQNHYLIWPOM-BMIFVAPISA-L |
|