Identification
| Name |
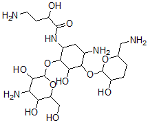
4-Amino-N-[5-Amino-2-[4-Amino-3,5-Dihydroxy-6-(Hydroxymethyl)Oxan-2-Yl]Oxy-4-[6-(Aminomethyl)-3-Hydroxyoxan-2-Yl]Oxy-3-Hydroxycyclohexyl]-2-Hydroxybutanamide |
| Synonyms |
4-Amino-N-[5-Amino-2-[4-Amino-3,5-Dihydroxy-6-(Hydroxymethyl)Tetrahydropyran-2-Yl]Oxy-4-[6-(Aminomethyl)-3-Hydroxy-Tetrahydropyran-2-Yl]Oxy-3-Hydroxy-Cyclohexyl]-2-Hydroxy-Butanamide; 4-Amino-N-[5-Amino-2-[[4-Amino-3,5-Dihydroxy-6-(Hydroxymethyl)-2-Tetrahydropyranyl]Oxy]-4-[[6-(Aminomethyl)-3-Hydroxy-2-Tetrahydropyranyl]Oxy]-3-Hydroxycyclohexyl]-2-Hydroxybutanamide; 4-Amino-N-[5-Amino-2-(4-Amino-3,5-Dihydroxy-6-Methylol-Tetrahydropyran-2-Yl)Oxy-4-[6-(Aminomethyl)-3-Hydroxy-Tetrahydropyran-2-Yl]Oxy-3-Hydroxy-Cyclohexyl]-2-Hydroxy-Butyramide |
|
| Molecular Structure |
![CAS#: 72908-95-3, 4-Amino-N-[5-Amino-2-[4-Amino-3,5-Dihydroxy-6-(Hydroxymethyl)Oxan-2-Yl]Oxy-4-[6-(Aminomethyl)-3-Hydroxyoxan-2-Yl]Oxy-3-Hydroxycyclohexyl]-2-Hydroxybutanamide](/moreStructures/72908-95-3.gif) |
| Molecular Formula |
C22H43N5O11 |
| Molecular Weight |
553.61 |
| CAS Registry Number |
72908-95-3 |
| SMILES |
C(C3C(C(C(C(OC1C(CC(C(C1O)OC2OC(CCC2O)CN)N)NC(C(CCN)O)=O)O3)O)N)O)O |
| InChI |
1S/C22H43N5O11/c23-4-3-11(29)20(34)27-10-5-9(25)18(37-21-12(30)2-1-8(6-24)35-21)17(33)19(10)38-22-16(32)14(26)15(31)13(7-28)36-22/h8-19,21-22,28-33H,1-7,23-26H2,(H,27,34) |
| InChIKey |
DJLZCFKPWYTEIQ-UHFFFAOYSA-N |
|