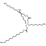
Identification
| Name |
Dodecyl 4,4-dioctyl-7-oxo-8-oxa-3,5-dithia-4-stannaicosan-1-oate |
| Synonyms |
dodecyl 4,4-dioctyl-7-oxo-8-oxa-3,5-dithia-4-stannaicosanoate |
|
| Molecular Structure |
 |
| Molecular Formula |
C44H88O4S2Sn |
| Molecular Weight |
864.01 |
| CAS Registry Number |
73246-85-2 |
| EINECS |
277-326-7 |
| SMILES |
O=C(CS[Sn](SCC(=O)OCCCCCCCCCCCC)(CCCCCCCC)CCCCCCCC)OCCCCCCCCCCCC |
| InChI |
1S/2C14H28O2S.2C8H17.Sn/c2*1-2-3-4-5-6-7-8-9-10-11-12-16-14(15)13-17;2*1-3-5-7-8-6-4-2;/h2*17H,2-13H2,1H3;2*1,3-8H2,2H3;/q;;;;+2/p-2 |
| InChIKey |
KJVWFJPPXNGPTJ-UHFFFAOYSA-L |
|