Online Database of Chemicals from Around the World

(3R,4R)-2-Oxo-4-(trifluoromethyl)-3-azetidinyl acetate
[CAS 740802-63-5]

Suppliers
Atomax Chemicals Co., Ltd. China
+86 13417589054/
info@atomaxchem.com,atomax.chemicals@gmail.com
QQ Chat
Chemical manufacturer
Identification
Name (3R,4R)-2-Oxo-4-(trifluoromethyl)-3-azetidinyl acetate
Synonyms (3R,4R)-2-oxo-4-(trifluoromethyl)azetidin-3-yl acetate
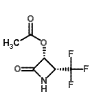
Molecular Structure CAS#: 740802-63-5, (3R,4R)-2-Oxo-4-(trifluoromethyl)-3-azetidinyl acetate
Molecular Formula C6H6F3NO3
Molecular Weight 197.11
CAS Registry Number 740802-63-5
SMILES CC(=O)O[C@@H]1[C@@H](NC1=O)C(F)(F)F
InChI 1S/C6H6F3NO3/c1-2(11)13-3-4(6(7,8)9)10-5(3)12/h3-4H,1H3,(H,10,12)/t3-,4-/m1/s1
InChIKey WAIGRPFAVFTEQB-QWWZWVQMSA-N
Properties
Density 1.459g/cm3 (Cal.)
Boiling point 270.651°C at 760 mmHg (Cal.)
Flash point 117.486°C (Cal.)
Refractive index 1.413 (Cal.)
Market Analysis Reports
Related Products
4-Oxo-4-[[9-[(2...  5-Oxo-1-(Triflu...  5-Oxo-1-(Triflu...  [2-Oxo-2-[(9R,1...  5-Oxo-6-Trifluo...  beta-Oxo-4-(Tri...  4-Oxo-6-(Triflu...  2-Oxo-2-[3-(Tri...  3-Oxo-3-[3-(tri...  4-Oxo-4-[3-(Tri...  alpha-Oxo-3-(Tr...  beta-Oxo-3-(Tri...  beta-Oxo-4-(tri...  N-[2-Oxo-4-(Tri...  2-Oxo-4-(triflu...  2-Oxo-4-(triflu...  2-[4-Oxo-3-[[5-...  2-Oxo-1-[4-(tri...  5-Oxo-1-[4-(Tri...  3-Oxo-2-(triflu...