Online Database of Chemicals from Around the World

3,6-Diamino-N-[(6E)-3-(2-Amino-3,4,5,6-Tetrahydropyrimidin-4-Yl)-6-[(Carbamoylamino)Methylidene]-9-[(3,6-Diaminohexanoylamino)Methyl]-12-(Hydroxymethyl)-2,5,8,11,14-Pentaoxo-1,4,7,10,13-Pentazacyclohexadec-15-Yl]Hexanamide
[CAS 74240-43-0]

Suppliers
CAS#: 74240-43-0
Product: 3,6-Diamino-N-[(6E)-3-(2-Amino-3,4,5,6-Tetrahydropyrimidin-4-Yl)-6-[(Carbamoylamino)Methylidene]-9-[(3,6-Diaminohexanoylamino)Methyl]-12-(Hydroxymethyl)-2,5,8,11,14-Pentaoxo-1,4,7,10,13-Pentazacyclohexadec-15-Yl]Hexanamide
No suppilers available for the product.
Identification
Name 3,6-Diamino-N-[(6E)-3-(2-Amino-3,4,5,6-Tetrahydropyrimidin-4-Yl)-6-[(Carbamoylamino)Methylidene]-9-[(3,6-Diaminohexanoylamino)Methyl]-12-(Hydroxymethyl)-2,5,8,11,14-Pentaoxo-1,4,7,10,13-Pentazacyclohexadec-15-Yl]Hexanamide
Synonyms 3,6-Diamino-N-[(6E)-3-(2-Amino-3,4,5,6-Tetrahydropyrimidin-4-Yl)-9-[(3,6-Diaminohexanoylamino)Methyl]-12-(Hydroxymethyl)-2,5,8,11,14-Pentaoxo-6-(Ureidomethylene)-1,4,7,10,13-Pentazacyclohexadec-15-Yl]Hexanamide; 3,6-Diamino-N-[(6E)-3-(2-Amino-3,4,5,6-Tetrahydropyrimidin-4-Yl)-9-[[(3,6-Diamino-1-Oxohexyl)Amino]Methyl]-12-(Hydroxymethyl)-2,5,8,11,14-Pentaoxo-6-(Ureidomethylene)-1,4,7,10,13-Pentazacyclohexadec-15-Yl]Hexanamide; 3,6-Diamino-N-[(6E)-3-(2-Amino-3,4,5,6-Tetrahydropyrimidin-4-Yl)-9-[(3,6-Diaminohexanoylamino)Methyl]-2,5,8,11,14-Pentaketo-12-Methylol-6-(Ureidomethylene)-1,4,7,10,13-Pentazacyclohexadec-15-Yl]Hexanamide
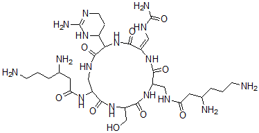
Molecular Structure CAS#: 74240-43-0, 3,6-Diamino-N-[(6E)-3-(2-Amino-3,4,5,6-Tetrahydropyrimidin-4-Yl)-6-[(Carbamoylamino)Methylidene]-9-[(3,6-Diaminohexanoylamino)Methyl]-12-(Hydroxymethyl)-2,5,8,11,14-Pentaoxo-1,4,7,10,13-Pentazacyclohexadec-15-Yl]Hexanamide
Molecular Formula C31H56N16O9
Molecular Weight 796.89
CAS Registry Number 74240-43-0
SMILES C(NC(=O)CC(N)CCCN)C1NC(=O)C(NC(=O)C(NC(=O)CC(N)CCCN)CNC(=O)C(NC(=O)\C(NC1=O)=C/NC(=O)N)C2NC(=NCC2)N)CO
InChI 1S/C31H56N16O9/c32-6-1-3-15(34)9-22(49)39-11-19-26(52)43-20(13-41-31(37)56)27(53)47-24(17-5-8-38-30(36)46-17)29(55)40-12-18(25(51)45-21(14-48)28(54)44-19)42-23(50)10-16(35)4-2-7-33/h13,15-19,21,24,48H,1-12,14,32-35H2,(H,39,49)(H,40,55)(H,42,50)(H,43,52)(H,44,54)(H,45,51)(H,47,53)(H3,36,38,46)(H3,37,41,56)/b20-13+
InChIKey NNHAOUAWUNAJJO-DEDYPNTBSA-N
Properties
Density 1.674g/cm3 (Cal.)
Market Analysis Reports
Related Products
(2R,3R,4R,5R)-2...  2-[2,4-Diamino-...  (3R)-3,6-Diamin...  2,4-Diamino-5-A...  3,5-Diamino-N-(...  3,5-Diamino-N-[...  5,7-Diamino-2-(...  2,6-Diamino-3-(...  6,9-Diamino-1-(...  3,6-Diamino-N-[...  3,5-Diamino-N-(...  1,6-Diamino-2,5...  4-[[2,4-Diamino...  4,4'-Diamino-4'...  4,5-Diamino-o-A...  2,4-Diaminoanis...  2,4-Diaminoanis...  2,4-Diaminoanis...  2,4-Diaminoanis...  2,5-Diaminoanis...