|
CAS#: 74462-04-7 Product: 4,4'-(1,1-Dodecanediyl)diphenol No suppilers available for the product. |
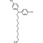
| Name | 4,4'-(1,1-Dodecanediyl)diphenol |
|---|---|
| Synonyms | 4,4'-dodecylidenebisphenol |
| Molecular Structure | ![]() |
| Molecular Formula | C24H34O2 |
| Molecular Weight | 354.53 |
| CAS Registry Number | 74462-04-7 |
| EINECS | 277-881-5 |
| SMILES | Oc1ccc(cc1)C(CCCCCCCCCCC)c2ccc(O)cc2 |
| InChI | 1S/C24H34O2/c1-2-3-4-5-6-7-8-9-10-11-24(20-12-16-22(25)17-13-20)21-14-18-23(26)19-15-21/h12-19,24-26H,2-11H2,1H3 |
| InChIKey | YMZDMPPYBDUSMI-UHFFFAOYSA-N |
| Density | 1.019g/cm3 (Cal.) |
|---|---|
| Boiling point | 497.407°C at 760 mmHg (Cal.) |
| Flash point | 215.24°C (Cal.) |
| Market Analysis Reports |