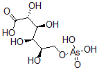
Identification
| Name |
(2R,3S,4R,5R)-6-Arsonooxy-2,3,4,5-Tetrahydroxyhexanoic Acid |
| Synonyms |
(2R,3S,4R,5R)-6-Arsonooxy-2,3,4,5-Tetrahydroxy-Hexanoic Acid; 6-Arsenogluconate; D-Gluconic Acid, 6-Ester With Arsenic Acid (H3aso4) |
|
| Molecular Structure |
 |
| Molecular Formula |
C6H13AsO10 |
| Molecular Weight |
320.08 |
| CAS Registry Number |
76030-89-2 |
| SMILES |
[C@@H](CO[As](=O)(O)O)([C@H]([C@@H]([C@H](C(O)=O)O)O)O)O |
| InChI |
1S/C6H13AsO10/c8-2(1-17-7(14,15)16)3(9)4(10)5(11)6(12)13/h2-5,8-11H,1H2,(H,12,13)(H2,14,15,16)/t2-,3-,4+,5-/m1/s1 |
| InChIKey |
UYGJCERUUNNTIQ-SQOUGZDYSA-N |
|