Online Database of Chemicals from Around the World

1-Methyl-N-(2-propyn-1-yloxy)-4-piperidinimine
[CAS 766492-07-3]

Suppliers
Atomax Chemicals Co., Ltd. China
+86 13417589054/
info@atomaxchem.com,atomax.chemicals@gmail.com
QQ Chat
Chemical manufacturer
Identification
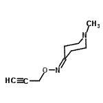
Name 1-Methyl-N-(2-propyn-1-yloxy)-4-piperidinimine
Synonyms 1-methylpiperidin-4-one O-prop-2-yn-1-yl oxime; 1-Methyl-piperidin-4-one O-prop-2-ynyl-oxime
Molecular Structure CAS#: 766492-07-3, 1-Methyl-N-(2-propyn-1-yloxy)-4-piperidinimine
Molecular Formula C9H14N2O
Molecular Weight 166.22
CAS Registry Number 766492-07-3
SMILES CN1CCC(=NOCC#C)CC1
InChI 1S/C9H14N2O/c1-3-8-12-10-9-4-6-11(2)7-5-9/h1H,4-8H2,2H3
InChIKey SGPLJQITXRLGJS-UHFFFAOYSA-N
Properties
Density 1.0±0.1g/cm3 (Cal.)
Boiling point 228.8±50.0°C at 760 mmHg (Cal.)
Flash point 92.2±30.1°C (Cal.)
Refractive index 1.497 (Cal.)
Market Analysis Reports
Related Products
5-Methyl-N-(2-P...  [(2S,3R)-3-Meth...  Methyl 2-(2-Pro...  2-Methyl-5-(2-p...  5-Methyl-2-(2-p...  1-Methyl-2-(2-P...  6-Methyl-1-(2-P...  3-Methyl-3-(2-P...  2-Methyl-4-[(2-...  (E)-N-Methyl-1-...  N-Methyl-N-Prop...  N-Methyl-N-Prop...  N-Methyl-N-Prop...  N-Methyl-N-Prop...  N-(1-Methyl-2-p...  1-Methyl-4-(2-P...  Methyl (5R)-5-(...  6-Methyl-4-(1-p...  Methyl 4-(1-Pro...  [5-Methyl-1-(2-...