Online Database of Chemicals from Around the World

Methyl (Z)-7-[(1R,2R,3R,5S)-2-(5-Cyclohexyl-3-Hydroxypentyl)-3,5-Dihydroxycyclopentyl]Hept-5-Enoate
[CAS 77204-95-6]

Suppliers
CAS#: 77204-95-6
Product: Methyl (Z)-7-[(1R,2R,3R,5S)-2-(5-Cyclohexyl-3-Hydroxypentyl)-3,5-Dihydroxycyclopentyl]Hept-5-Enoate
No suppilers available for the product.
Identification
Name Methyl (Z)-7-[(1R,2R,3R,5S)-2-(5-Cyclohexyl-3-Hydroxypentyl)-3,5-Dihydroxycyclopentyl]Hept-5-Enoate
Synonyms Methyl (Z)-7-[(1R,2R,3R,5S)-2-(5-Cyclohexyl-3-Hydroxy-Pentyl)-3,5-Dihydroxy-Cyclopentyl]Hept-5-Enoate; (Z)-7-[(1R,2R,3R,5S)-2-(5-Cyclohexyl-3-Hydroxypentyl)-3,5-Dihydroxycyclopentyl]Hept-5-Enoic Acid Methyl Ester; (Z)-7-[(1R,2R,3R,5S)-2-(5-Cyclohexyl-3-Hydroxy-Pentyl)-3,5-Dihydroxy-Cyclopentyl]Hept-5-Enoic Acid Methyl Ester
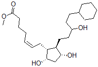
Molecular Structure CAS#: 77204-95-6, Methyl (Z)-7-[(1R,2R,3R,5S)-2-(5-Cyclohexyl-3-Hydroxypentyl)-3,5-Dihydroxycyclopentyl]Hept-5-Enoate
Molecular Formula C24H42O5
Molecular Weight 410.59
CAS Registry Number 77204-95-6
SMILES [C@@H]1(C\C=C/CCCC(=O)OC)[C@H]([C@@H](C[C@@H]1O)O)CCC(CCC2CCCCC2)O
InChI 1S/C24H42O5/c1-29-24(28)12-8-3-2-7-11-20-21(23(27)17-22(20)26)16-15-19(25)14-13-18-9-5-4-6-10-18/h2,7,18-23,25-27H,3-6,8-17H2,1H3/b7-2-/t19?,20-,21-,22+,23-/m1/s1
InChIKey BQLZMTCDWNUFGL-KEEDMREHSA-N
Market Analysis Reports
Related Products
1-(4-Methylcycl...  Methyl (2Z)-4-c...  Methyl 7-[2-(5-...  2-Methylcyclohe...  (4-Methylcycloh...  (2-Methylcycloh...  (3-Methylcycloh...  O-(1-Methylcycl...  Methyl 3-cycloh...  Methyl 6-[(1R,2...  Methyl (Z)-7-[(...  Methyl 3-cycloh...  2-(2-Methylcycl...  Methyl Cyclohex...  2-(4-Methylcycl...  N-[4-[[(4-Methy...  [(4-Methylcyclo...  3b-[[3-O,4-O-(2...  3b-[[3-O,4-O-(3...  3b-[[3-O,4-O-(4...