Online Database of Chemicals from Around the World

(3R,5R)-7-[(1S,2S,6R,8S,8aR)-2,6-Dimethyl-8-[(2S)-2-Methylbutanoyl]Oxy-1,2,6,7,8,8a-Hexahydronaphthalen-1-Yl]-3,5-Dihydroxyheptanoic Acid
[CAS 77285-87-1]

Suppliers
CAS#: 77285-87-1
Product: (3R,5R)-7-[(1S,2S,6R,8S,8aR)-2,6-Dimethyl-8-[(2S)-2-Methylbutanoyl]Oxy-1,2,6,7,8,8a-Hexahydronaphthalen-1-Yl]-3,5-Dihydroxyheptanoic Acid
No suppilers available for the product.
Identification
Name (3R,5R)-7-[(1S,2S,6R,8S,8aR)-2,6-Dimethyl-8-[(2S)-2-Methylbutanoyl]Oxy-1,2,6,7,8,8a-Hexahydronaphthalen-1-Yl]-3,5-Dihydroxyheptanoic Acid
Synonyms (3R,5R)-7-[(1S,2S,6R,8S,8Ar)-2,6-Dimethyl-8-[(2S)-2-Methylbutanoyl]Oxy-1,2,6,7,8,8A-Hexahydronaphthalen-1-Yl]-3,5-Dihydroxy-Heptanoic Acid; (3R,5R)-7-[(1S,2S,6R,8S,8Ar)-2,6-Dimethyl-8-[(2S)-2-Methyl-1-Oxobutoxy]-1,2,6,7,8,8A-Hexahydronaphthalen-1-Yl]-3,5-Dihydroxyheptanoic Acid; (3R,5R)-7-[(1S,2S,6R,8S,8Ar)-2,6-Dimethyl-8-[(2S)-2-Methylbutanoyl]Oxy-1,2,6,7,8,8A-Hexahydronaphthalen-1-Yl]-3,5-Dihydroxy-Enanthic Acid
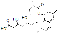
Molecular Structure CAS#: 77285-87-1, (3R,5R)-7-[(1S,2S,6R,8S,8aR)-2,6-Dimethyl-8-[(2S)-2-Methylbutanoyl]Oxy-1,2,6,7,8,8a-Hexahydronaphthalen-1-Yl]-3,5-Dihydroxyheptanoic Acid
Molecular Formula C24H38O6
Molecular Weight 422.56
CAS Registry Number 77285-87-1
SMILES [C@@H]12C(=C[C@@H](C[C@@H]1OC(=O)[C@H](CC)C)C)C=C[C@H](C)[C@@H]2CC[C@H](C[C@H](CC(=O)O)O)O
InChI 1S/C24H38O6/c1-5-15(3)24(29)30-21-11-14(2)10-17-7-6-16(4)20(23(17)21)9-8-18(25)12-19(26)13-22(27)28/h6-7,10,14-16,18-21,23,25-26H,5,8-9,11-13H2,1-4H3,(H,27,28)/t14-,15-,16-,18+,19+,20-,21-,23-/m0/s1
InChIKey QLJODMDSTUBWDW-BXMDZJJMSA-N
Properties
Density 1.148g/cm3 (Cal.)
Boiling point 602.299°C at 760 mmHg (Cal.)
Flash point 199.101°C (Cal.)
Market Analysis Reports
Related Products
N,N-Dimethyl-N'...  N,N-Dimethyl-N'...  Dimethyl (2-Met...  Dimethyl (3-Met...  Dimethyl (4-Met...  2,2-Dimethyl-1-...  Dimethyl 4'-Met...  Dimethyl 5-Meth...  4,4-Dimethyl-2-...  Dimethyl[2-[2-[...  10,13-Dimethyl-...  (1S,13S)-1,13-D...  2,2-Dimethyl-8-...  (2S)-2-[2,2-Dim...  3,5-Dimethyl-4-...  3,5-Dimethyl-4-...  3,5-Dimethyl-4-...  1-[2,3-Dimethyl...  2,5-Dimethyl-2-...  8,8-Dimethyl-10...