Online Database of Chemicals from Around the World

(1S,3R,4E,6E,8E,10E,12E,14E,16Z,18S,19R,20R,21S,25R,27R,30R,31R,33S,35R,37S,38R)-3-[(2R,3S,4S,5S,6R)-3,5-Dihydroxy-6-Methyl-4-[[(3S,4R,5R)-3,4,5,6-Tetrahydroxy-2-Oxohexyl]Amino]Oxan-2-Yl]Oxy-19,25,27,30,31,33,35,37-Octahydroxy-18,20,21-Trimethyl-23-Oxo-22,39-Dioxabicyclo[33.3.1]Nonatriaconta-4,6,8,10,12,14,16-Heptaene-38-Carboxylic Acid
[CAS 78107-92-3]

Suppliers
CAS#: 78107-92-3
Product: (1S,3R,4E,6E,8E,10E,12E,14E,16Z,18S,19R,20R,21S,25R,27R,30R,31R,33S,35R,37S,38R)-3-[(2R,3S,4S,5S,6R)-3,5-Dihydroxy-6-Methyl-4-[[(3S,4R,5R)-3,4,5,6-Tetrahydroxy-2-Oxohexyl]Amino]Oxan-2-Yl]Oxy-19,25,27,30,31,33,35,37-Octahydroxy-18,20,21-Trimethyl-23-Oxo-22,39-Dioxabicyclo[33.3.1]Nonatriaconta-4,6,8,10,12,14,16-Heptaene-38-Carboxylic Acid
No suppilers available for the product.
Identification
Name (1S,3R,4E,6E,8E,10E,12E,14E,16Z,18S,19R,20R,21S,25R,27R,30R,31R,33S,35R,37S,38R)-3-[(2R,3S,4S,5S,6R)-3,5-Dihydroxy-6-Methyl-4-[[(3S,4R,5R)-3,4,5,6-Tetrahydroxy-2-Oxohexyl]Amino]Oxan-2-Yl]Oxy-19,25,27,30,31,33,35,37-Octahydroxy-18,20,21-Trimethyl-23-Oxo-22,39-Dioxabicyclo[33.3.1]Nonatriaconta-4,6,8,10,12,14,16-Heptaene-38-Carboxylic Acid
Synonyms (1S,3R,4E,6E,8E,10E,12E,14E,16E,18S,19R,20R,21S,25R,27R,30R,31R,33S,35R,37S,38R)-3-[(2R,3S,4S,5S,6R)-3,5-Dihydroxy-6-Methyl-4-[[(3S,4R,5R)-3,4,5,6-Tetrahydroxy-2-Oxohexyl]Amino]Oxan-2-Yl]Oxy-19,25,27,30,31,33,35,37-Octahydroxy-18,20,21-Trimethyl-23-Oxo-22,39-Dioxabicyclo[33.3.1]Nonatriaconta-4,6,8,10,12,14,16-Heptaene-38-Carboxylic Acid; (1S,3R,4E,6E,8E,10E,12E,14E,16Z,18S,19R,20R,21S,25R,27R,30R,31R,33S,35R,37S,38R)-3-[(2R,3S,4S,5S,6R)-3,5-Dihydroxy-6-Methyl-4-[[(3S,4R,5R)-3,4,5,6-Tetrahydroxy-2-Oxo-Hexyl]Amino]Tetrahydropyran-2-Yl]Oxy-19,25,27,30,31,33,35,37-Octahydroxy-18,20,21-Trimethyl-23-Oxo-22,39-Dioxabicyclo[33.3.1]Nonatriaconta-4,6,8,10,12,14,16-Heptaene-38-Carboxylic Acid; (1S,3R,4E,6E,8E,10E,12E,14E,16E,18S,19R,20R,21S,25R,27R,30R,31R,33S,35R,37S,38R)-3-[(2R,3S,4S,5S,6R)-3,5-Dihydroxy-6-Methyl-4-[[(3S,4R,5R)-3,4,5,6-Tetrahydroxy-2-Oxo-Hexyl]Amino]Tetrahydropyran-2-Yl]Oxy-19,25,27,30,31,33,35,37-Octahydroxy-18,20,21-Trimethyl-23-Oxo-22,39-Dioxabicyclo[33.3.1]Nonatriaconta-4,6,8,10,12,14,16-Heptaene-38-Carboxylic Acid
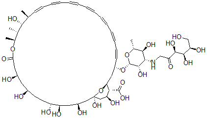
Molecular Structure CAS#: 78107-92-3, (1S,3R,4E,6E,8E,10E,12E,14E,16Z,18S,19R,20R,21S,25R,27R,30R,31R,33S,35R,37S,38R)-3-[(2R,3S,4S,5S,6R)-3,5-Dihydroxy-6-Methyl-4-[[(3S,4R,5R)-3,4,5,6-Tetrahydroxy-2-Oxohexyl]Amino]Oxan-2-Yl]Oxy-19,25,27,30,31,33,35,37-Octahydroxy-18,20,21-Trimethyl-23-Oxo-22,39-Dioxabicyclo[33.3.1]Nonatriaconta-4,6,8,10,12,14,16-Heptaene-38-Carboxylic Acid
Molecular Formula C53H83NO22
Molecular Weight 1086.23
CAS Registry Number 78107-92-3
SMILES [C@@H]13O[C@@](O)(C[C@H](O)[C@H]1C(O)=O)C[C@@H](O)C[C@@H](O)[C@H](O)CC[C@@H](O)C[C@@H](O)CC(O[C@H]([C@@H]([C@H](O)[C@@H](C)\C=C/C=C/C=C/C=C/C=C/C=C/C=C/[C@H](O[C@@H]2O[C@@H]([C@@H](O)[C@H](NCC(=O)[C@@H](O)[C@H](O)[C@H](O)CO)[C@@H]2O)C)C3)C)C)=O
InChI 1S/C53H83NO22/c1-29-17-15-13-11-9-7-5-6-8-10-12-14-16-18-36(75-52-50(69)45(47(66)32(4)74-52)54-27-40(62)48(67)49(68)41(63)28-55)24-42-44(51(70)71)39(61)26-53(72,76-42)25-35(58)22-38(60)37(59)20-19-33(56)21-34(57)23-43(64)73-31(3)30(2)46(29)65/h5-18,29-39,41-42,44-50,52,54-61,63,65-69,72H,19-28H2,1-4H3,(H,70,71)/b6-5+,9-7+,10-8+,13-11+,14-12+,17-15-,18-16+/t29-,30-,31-,32+,33+,34+,35-,36-,37+,38+,39-,41+,42-,44+,45-,46+,47+,48+,49+,50-,52-,53+/m0/s1
InChIKey LCPVUNFJQJJSDB-AHYKIKMVSA-N
Properties
Density 1.4g/cm3 (Cal.)
Boiling point 1301.66°C at 760 mmHg (Cal.)
Flash point 741.017°C (Cal.)
Market Analysis Reports
Related Products
(3R,3aS,5R,5aS,...  1,5-Dihydroxy-3...  6,7-Dihydroxy-1...  6,7-Dihydroxy-1...  6,7-Dihydroxy-1...  (4R,5R,6S)-4,5-...  (4S,5S,6S)-4,5-...  (4R,5R,6R)-4,5-...  4-({5-[(4,5-Dih...  4-[5-[5-[3,4-Di...  6,7-Dihydroxy-2...  6,7-Dihydroxy-3...  [4,beta-Dihydro...  N-[3,4-Dihydrox...  3-[(2S,3R,4R,5R...  3-[(2S,3R,4S,5R...  1,10-Dihydroxy-...  [4-[4,5-Dihydro...  [4-[4,5-Dihydro...  3-[3,5-Dihydrox...