Online Database of Chemicals from Around the World

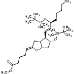
Methyl (5Z,9alpha,11alpha,13E,15S)-11,15-bis{[dimethyl(2-methyl-2-propanyl)silyl]oxy}-6,9-epoxyprosta-5,13-dien-1-oate
[CAS 78824-82-5]

Suppliers
Achemica Switzerland
+41 (24) 466-2929
contact@achemica.com
Chemical manufacturer since 2010
Identification
Name Methyl (5Z,9alpha,11alpha,13E,15S)-11,15-bis{[dimethyl(2-methyl-2-propanyl)silyl]oxy}-6,9-epoxyprosta-5,13-dien-1-oate
Synonyms methyl (5Z,13E,15S)-11α,15-bis[[(tert-butyl)dimethylsilyl]oxy]-6,9α-epoxyprosta-5,13-dien-1-oate
Molecular Structure CAS#: 78824-82-5, Methyl (5Z,9alpha,11alpha,13E,15S)-11,15-bis{[dimethyl(2-methyl-2-propanyl)silyl]oxy}-6,9-epoxyprosta-5,13-dien-1-oate
Molecular Formula C33H62O5Si2
Molecular Weight 595.01
CAS Registry Number 78824-82-5
EINECS 278-987-4
SMILES CC(C)(C)[Si](C)(C)O[C@@H]1C[C@@H]2OC(/C[C@@H]2[C@H]1/C=C/[C@H](CCCCC)O[Si](C)(C)C(C)(C)C)=C\CCCC(=O)OC
InChI 1S/C33H62O5Si2/c1-13-14-15-18-25(37-39(9,10)32(2,3)4)21-22-27-28-23-26(19-16-17-20-31(34)35-8)36-29(28)24-30(27)38-40(11,12)33(5,6)7/h19,21-22,25,27-30H,13-18,20,23-24H2,1-12H3/b22-21+,26-19-/t25-,27+,28+,29-,30+/m0/s1
InChIKey DWJGWVMGKGVGLF-WPDSVBPESA-N
Properties
Density 0.973g/cm3 (Cal.)
Boiling point 573.732°C at 760 mmHg (Cal.)
Flash point 249.813°C (Cal.)
Market Analysis Reports
Related Products
Methyl 4-(4-(Bi...  Methyl bis(4-ch...  1-Methyl-3,5-bi...  1-O-Methyl-3,5-...  1-O-Methyl-3,5-...  Methylbis(di(2-...  10-Methyl-3,6-B...  Methyl 3,3-Bis(...  Methylbis(dimet...  Methyl Bis[[(Di...  Methyl 2,3-Bis-...  Methyl 3,3,17,1...  Methyl (1S,2S,3...  N-Methylbis(Hep...  N-Methylbis(hyd...  Methyl 4-{4-[Bi...  1-Methyl-3,3-bi...  Methyl Bis(Hydr...  Methyl 2,2-Bis(...  Methyl Bis(4-Hy...